🇳🇴 🇬🇧 🇩🇪 🇨🇿 🇫🇮

Meteor, poloha: Byrum 2021-01-15 19:56:15 UTC

Soubor KML  |  InteraktivnĂ­ mapa

Mapa zobrazuje dráhy meteoru. Světlejší čáry ukazují směry od pozorovacích stanic při objevení se meteoru a tmavší čáry, kde byl naposledy viděn. Modrá šipka značí viditelnou dráhu meteoru.

static map
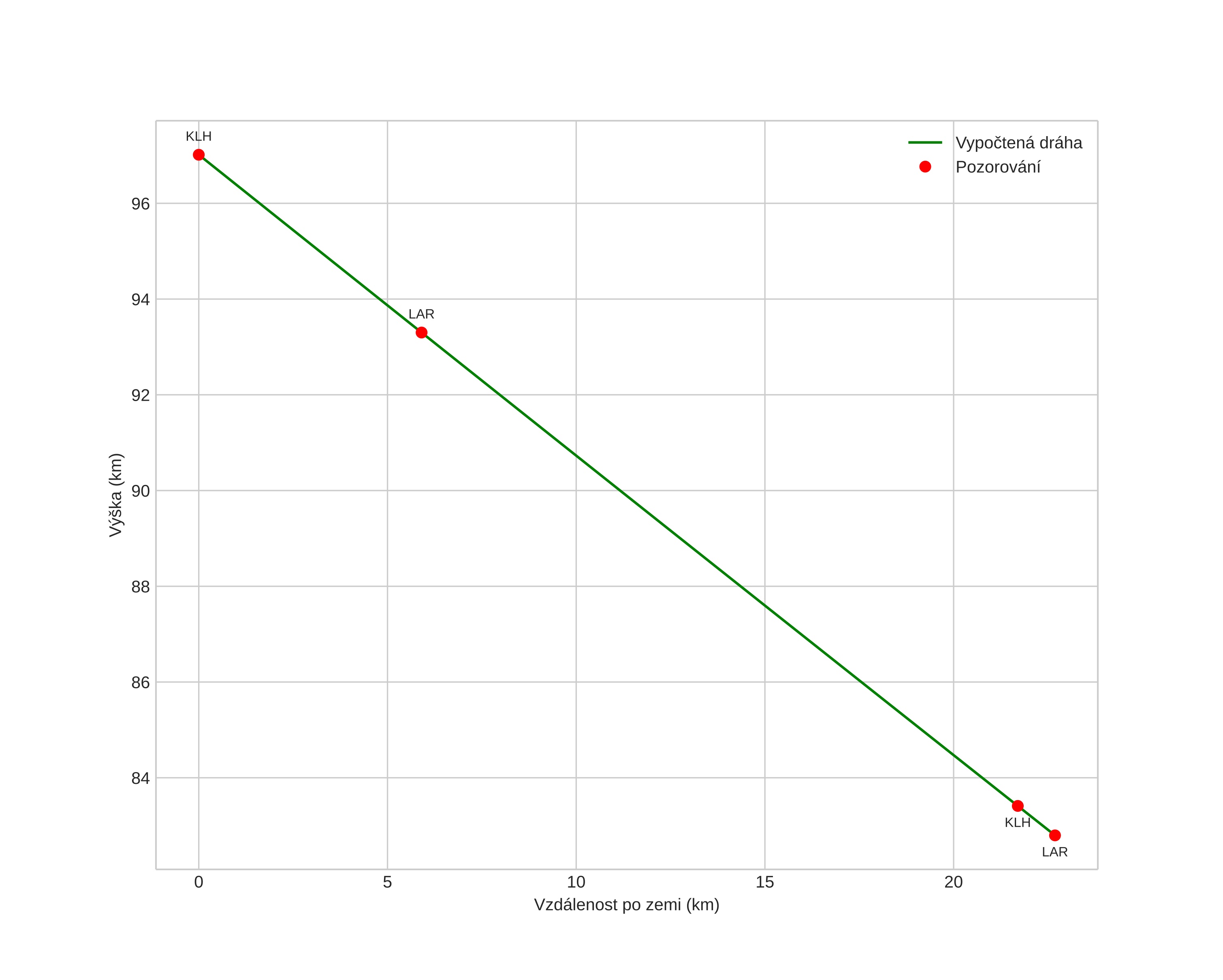
height profile
Atmosférická dráha meteoru:
Počáteční výška: 96,9 km
Konečná výška: 82,7 km
Počáteční poloha: 57,224N 11,013E
Konečná poloha: 57,025N 11,120E
Směr: 163,8°
Sklon: 31,6°
VstupnĂ­ rychlost: 31,7 km/s
Rektascenze radiantu: 18:22 (275,5°)
Deklinace radiantu: 59,9°
MeteorickĂ˝ roj: sporadickĂ˝
Elementy dráhy meteoroidu:
Vzdálenost v periheliu: 0,976 AU
Excentricita: 0,990
Sklon dráhy: 44,5°
Délka vzestupného uzlu: 295,6°
Argument perihelia: 169,7°
Střední anomálie: 0,0°
Epocha: 2021 JAN 15 19:56:15
orbit plot

NeinteraktivnĂ­ graf | InteraktivnĂ­ graf

position vs time
speed and acceleration