🇳🇴 🇬🇧 🇩🇪 🇨🇿 🇫🇮

Meteor, poloha: Bismo 2021-01-16 06:42:06 UTC

Soubor KML  |  InteraktivnĂ­ mapa

Mapa zobrazuje dráhy meteoru. Světlejší čáry ukazují směry od pozorovacích stanic při objevení se meteoru a tmavší čáry, kde byl naposledy viděn. Modrá šipka značí viditelnou dráhu meteoru.

static map
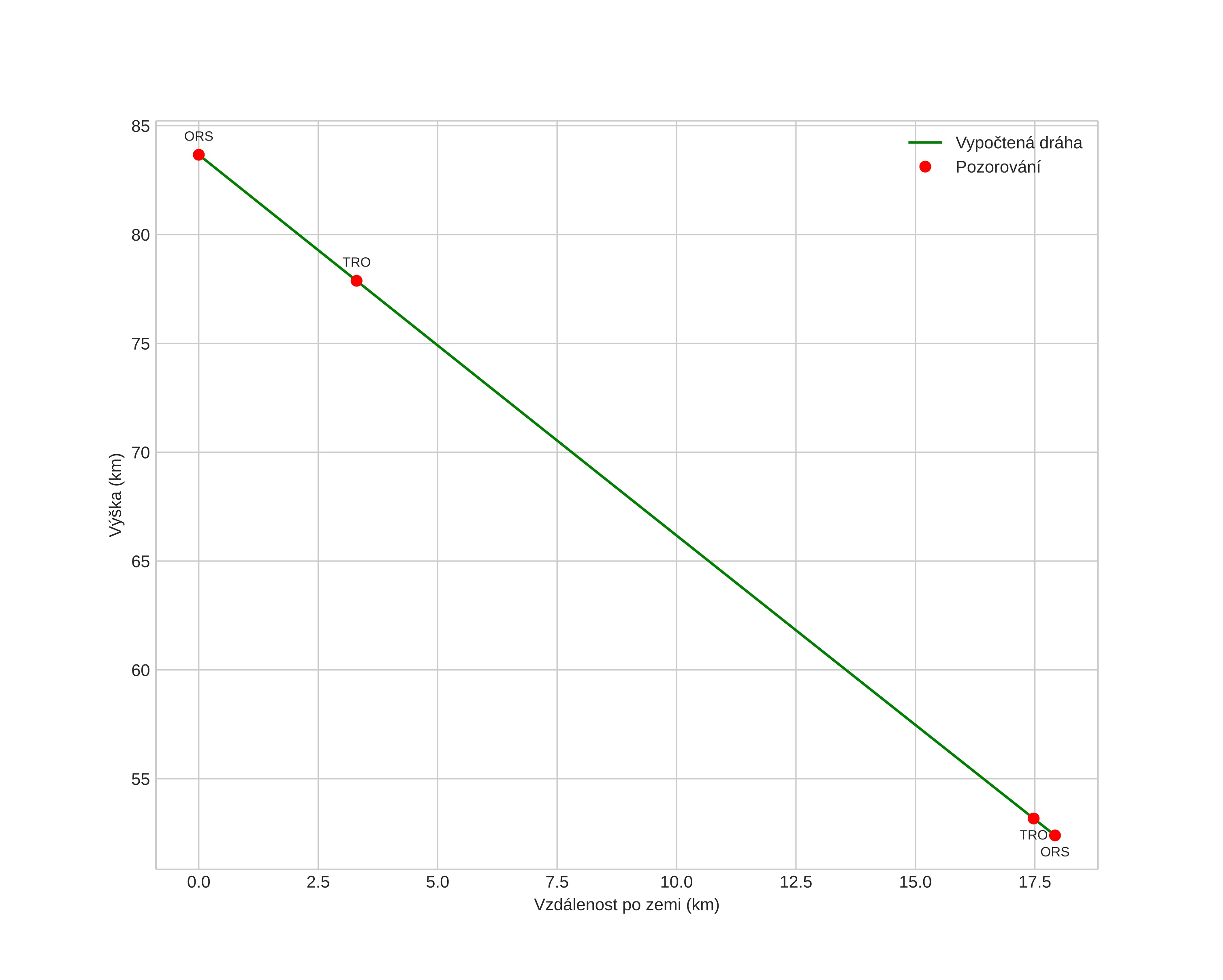
height profile
Atmosférická dráha meteoru:
Počáteční výška: 82,3 km
Konečná výška: 52,4 km
Počáteční poloha: 62,414N 8,283E
Konečná poloha: 62,279N 8,127E
Směr: 208,3°
Sklon: 60,3°
VstupnĂ­ rychlost: 20,7 km/s
Rektascenze radiantu: 21:21 (320,3°)
Deklinace radiantu: 75,8°
MeteorickĂ˝ roj: sporadickĂ˝
Elementy dráhy meteoroidu:
Vzdálenost v periheliu: 0,980 AU
Excentricita: 0,673
Sklon dráhy: 25,2°
Délka vzestupného uzlu: 296,1°
Argument perihelia: 188,2°
Střední anomálie: 358,8°
Epocha: 2021 JAN 16 06:42:06
orbit plot

NeinteraktivnĂ­ graf | InteraktivnĂ­ graf

position vs time
speed and acceleration