🇳🇴 🇬🇧 🇩🇪 🇨🇿 🇫🇮

Meteor, poloha: Stange 2021-01-16 16:05:04 UTC

Soubor KML  |  InteraktivnĂ­ mapa

Mapa zobrazuje dráhy meteoru. Světlejší čáry ukazují směry od pozorovacích stanic při objevení se meteoru a tmavší čáry, kde byl naposledy viděn. Modrá šipka značí viditelnou dráhu meteoru.

static map
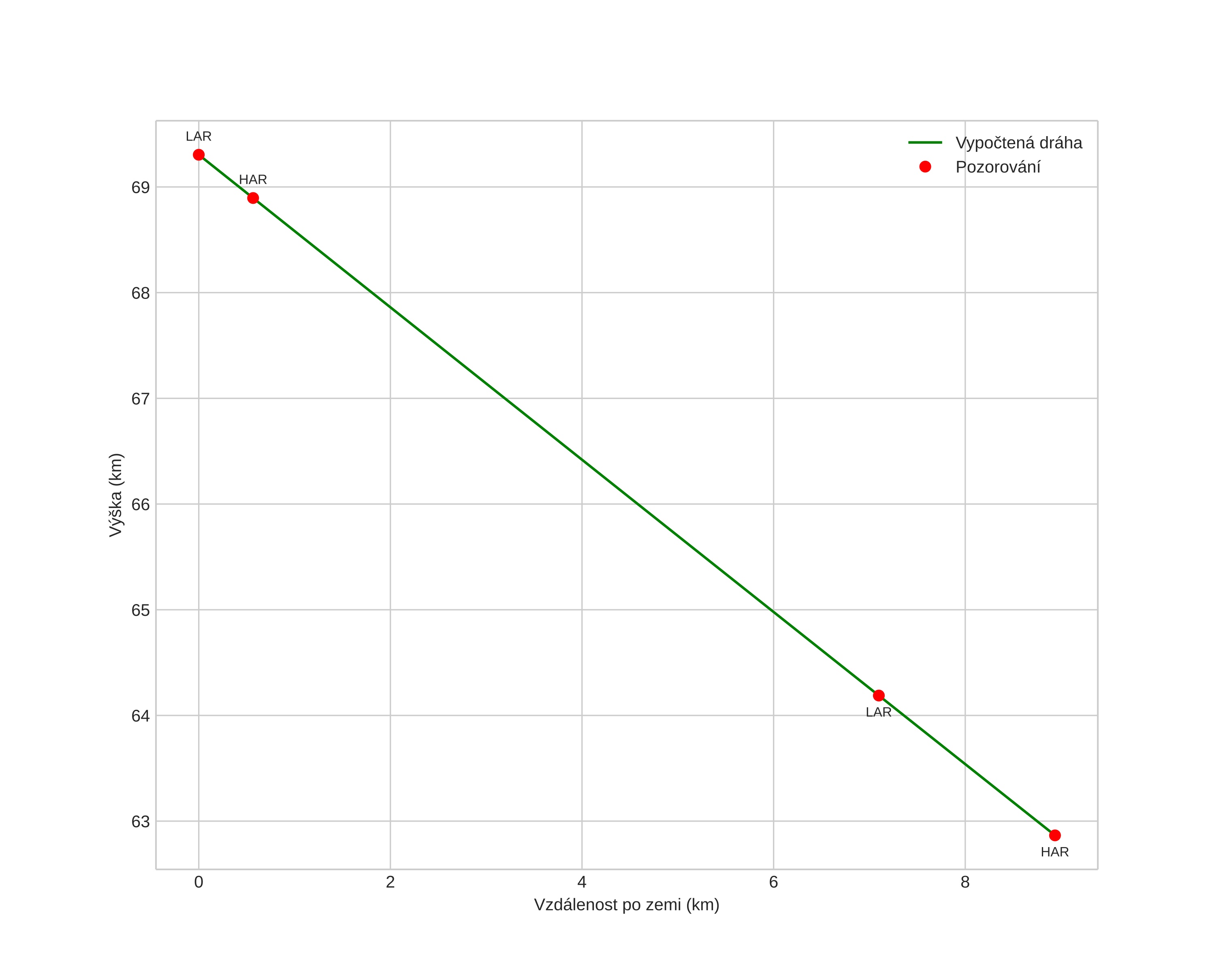
height profile
Atmosférická dráha meteoru:
Počáteční výška: 68,4 km
Konečná výška: 61,0 km
Počáteční poloha: 60,628N 11,200E
Konečná poloha: 60,707N 11,268E
Směr: 22,7°
Sklon: 37,8°
VstupnĂ­ rychlost: 13,2 km/s
Rektascenze radiantu: 23:04 (346,1°)
Deklinace radiantu: -6,3°
MeteorickĂ˝ roj: sporadickĂ˝
Elementy dráhy meteoroidu:
Vzdálenost v periheliu: 0,955 AU
Excentricita: 0,451
Sklon dráhy: 0,1°
Délka vzestupného uzlu: 118,1°
Argument perihelia: 333,1°
Střední anomálie: 8,7°
Epocha: 2021 JAN 16 16:05:04
orbit plot

NeinteraktivnĂ­ graf | InteraktivnĂ­ graf

position vs time
speed and acceleration