🇳🇴 🇬🇧 🇩🇪 🇨🇿 🇫🇮

Meteor, poloha: Fyresdal 2021-01-16 19:58:55 UTC

Soubor KML  |  InteraktivnĂ­ mapa

Mapa zobrazuje dráhy meteoru. Světlejší čáry ukazují směry od pozorovacích stanic při objevení se meteoru a tmavší čáry, kde byl naposledy viděn. Modrá šipka značí viditelnou dráhu meteoru.

static map
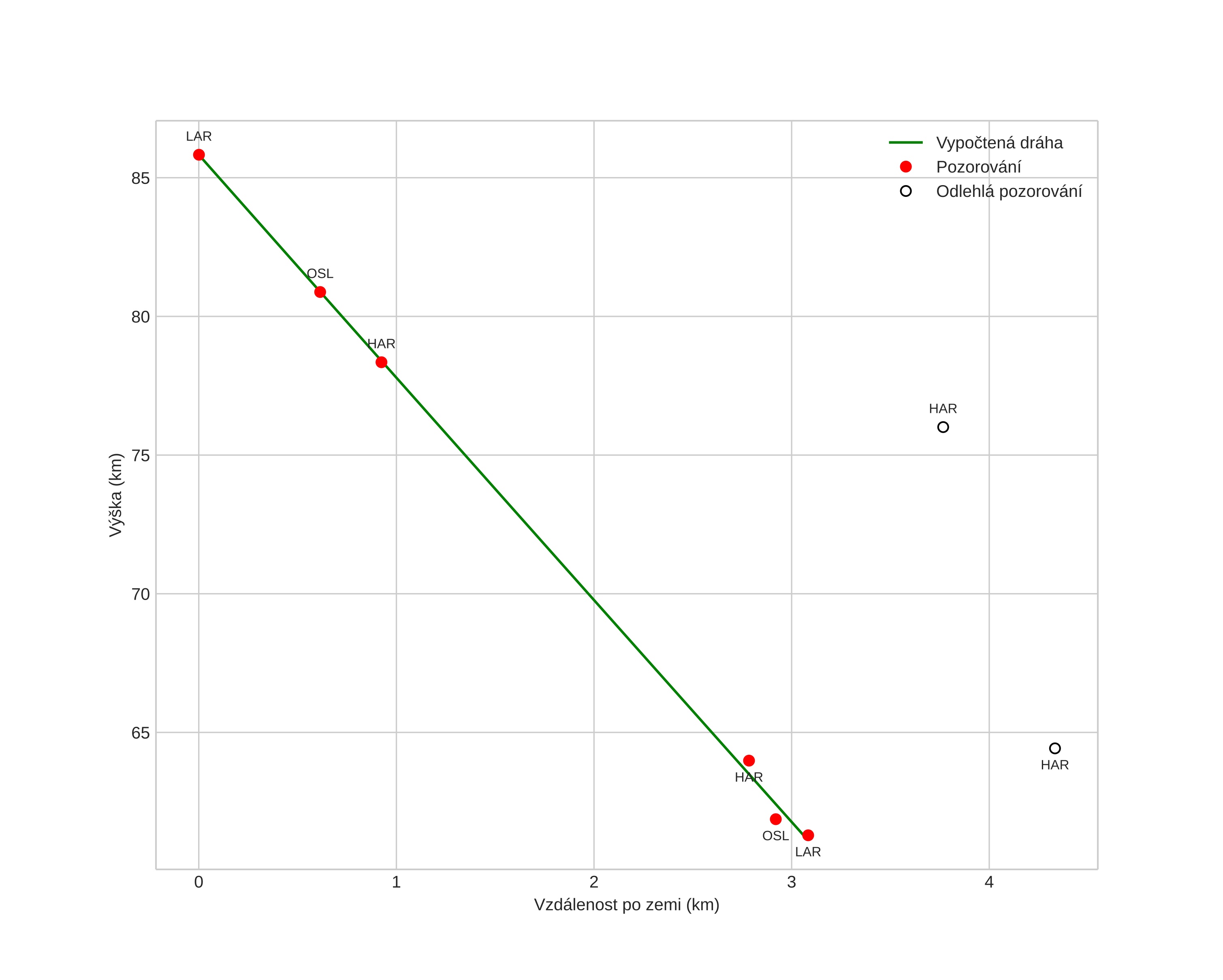
height profile
Atmosférická dráha meteoru:
Počáteční výška: 86,7 km
Konečná výška: 61,6 km
Počáteční poloha: 59,090N 8,032E
Konečná poloha: 59,066N 8,011E
Směr: 205,3°
Sklon: 83,5°
VstupnĂ­ rychlost: 18,9 km/s
Rektascenze radiantu: 04:36 (69,1°)
Deklinace radiantu: 65,3°
MeteorickĂ˝ roj: sporadickĂ˝
Elementy dráhy meteoroidu:
Vzdálenost v periheliu: 0,929 AU
Excentricita: 0,759
Sklon dráhy: 15,6°
Délka vzestupného uzlu: 296,6°
Argument perihelia: 209,6°
Střední anomálie: 357,3°
Epocha: 2021 JAN 16 19:58:55
orbit plot

NeinteraktivnĂ­ graf | InteraktivnĂ­ graf

position vs time
speed and acceleration