🇳🇴 🇬🇧 🇩🇪 🇨🇿 🇫🇮

Meteor, poloha: Hopen 2021-01-16 20:32:02 UTC

Soubor KML  |  InteraktivnĂ­ mapa

Mapa zobrazuje dráhy meteoru. Světlejší čáry ukazují směry od pozorovacích stanic při objevení se meteoru a tmavší čáry, kde byl naposledy viděn. Modrá šipka značí viditelnou dráhu meteoru.

static map
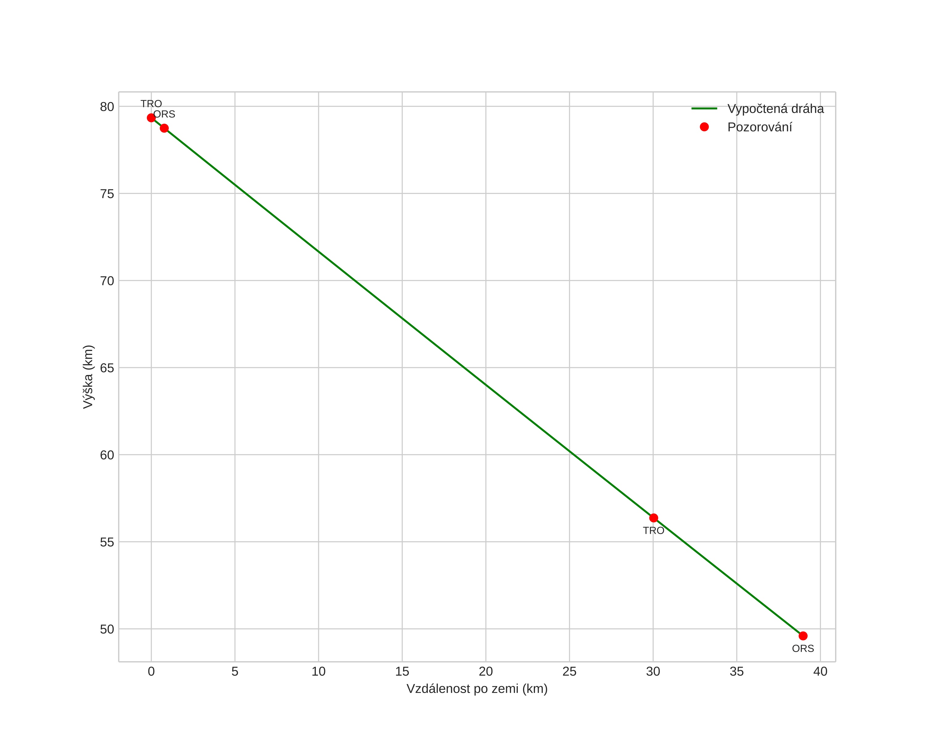
height profile
Atmosférická dráha meteoru:
Počáteční výška: 82,3 km
Konečná výška: 50,3 km
Počáteční poloha: 64,131N 8,418E
Konečná poloha: 64,367N 7,748E
Směr: 309,3°
Sklon: 37,6°
VstupnĂ­ rychlost: 23,9 km/s
Rektascenze radiantu: 07:35 (113,9°)
Deklinace radiantu: 16,1°
MeteorickĂ˝ roj: sporadickĂ˝
Elementy dráhy meteoroidu:
Vzdálenost v periheliu: 0,629 AU
Excentricita: 0,739
Sklon dráhy: 3,6°
Délka vzestupného uzlu: 116,7°
Argument perihelia: 81,2°
Střední anomálie: 348,6°
Epocha: 2021 JAN 16 20:32:02
orbit plot

NeinteraktivnĂ­ graf | InteraktivnĂ­ graf

position vs time
speed and acceleration