🇳🇴 🇬🇧 🇩🇪 🇨🇿 🇫🇮

Meteor, poloha: Alta 2021-01-18 22:54:48 UTC

Soubor KML  |  InteraktivnĂ­ mapa

Mapa zobrazuje dráhy meteoru. Světlejší čáry ukazují směry od pozorovacích stanic při objevení se meteoru a tmavší čáry, kde byl naposledy viděn. Modrá šipka značí viditelnou dráhu meteoru.

static map
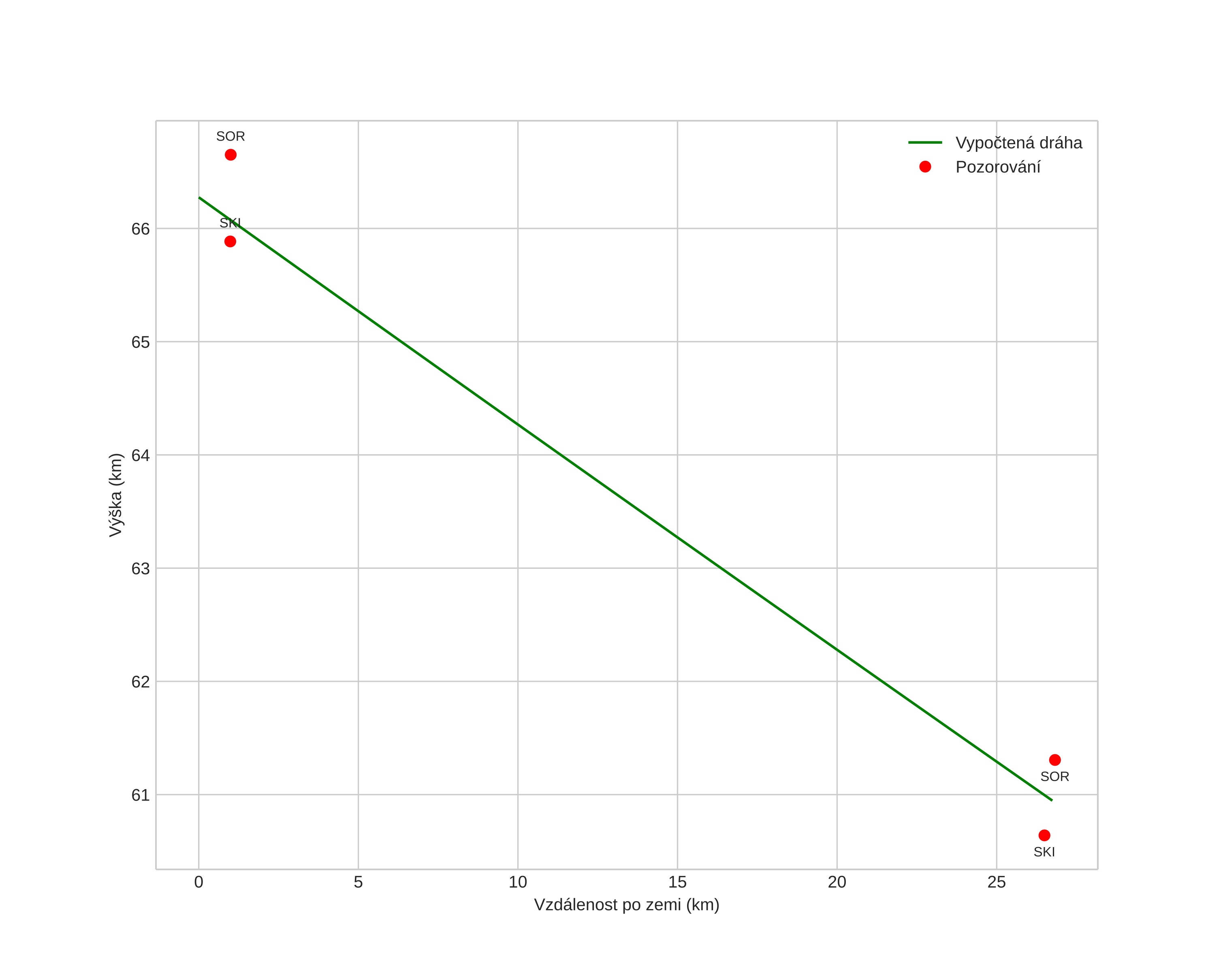
height profile
Atmosférická dráha meteoru:
Počáteční výška: 65,8 km
Konečná výška: 60,4 km
Počáteční poloha: 69,726N 23,016E
Konečná poloha: 69,739N 23,693E
Směr: 86,6°
Sklon: 11,7°
VstupnĂ­ rychlost: 23,7 km/s
Rektascenze radiantu: 02:40 (40,2°)
Deklinace radiantu: 4,3°
MeteorickĂ˝ roj: sporadickĂ˝
Elementy dráhy meteoroidu:
Vzdálenost v periheliu: 0,980 AU
Excentricita: 1,877
Sklon dráhy: 4,5°
Délka vzestupného uzlu: 118,8°
Argument perihelia: 6,2°
Střední anomálie: -3,0°
Epocha: 2021 JAN 18 22:54:48
orbit plot

NeinteraktivnĂ­ graf | InteraktivnĂ­ graf

position vs time
speed and acceleration