🇳🇴 🇬🇧 🇩🇪 🇨🇿 🇫🇮

Meteor, poloha: Utsira 2021-01-25 19:01:39 UTC

Soubor KML  |  InteraktivnĂ­ mapa

Mapa zobrazuje dráhy meteoru. Světlejší čáry ukazují směry od pozorovacích stanic při objevení se meteoru a tmavší čáry, kde byl naposledy viděn. Modrá šipka značí viditelnou dráhu meteoru.

static map
height profile
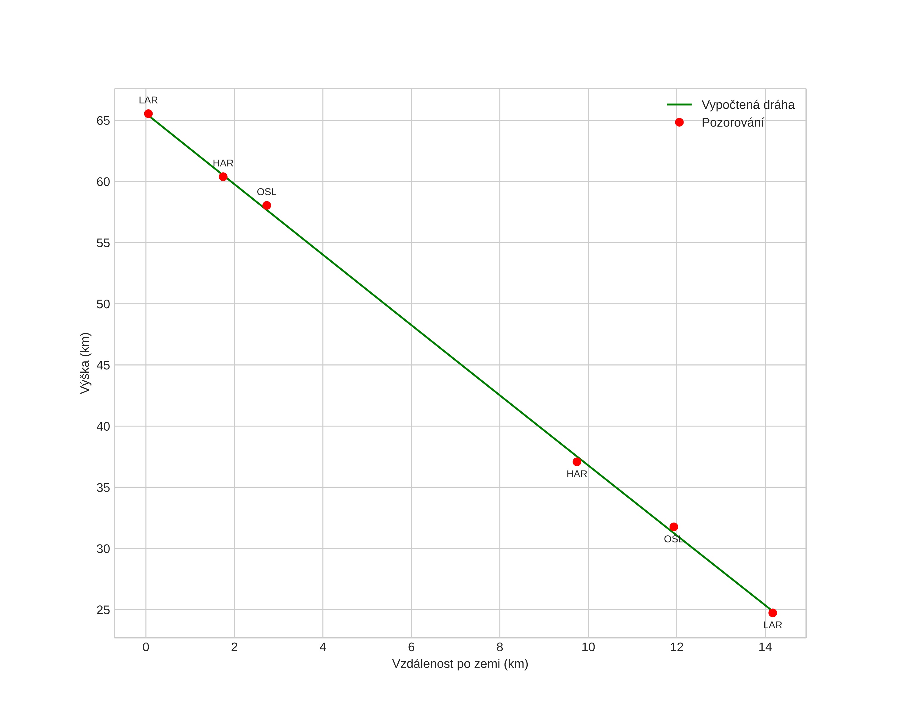
Atmosférická dráha meteoru:
Počáteční výška: 65,7 km
Konečná výška: 29,9 km
Počáteční poloha: 57,965N 4,087E
Konečná poloha: 58,052N 4,187E
Směr: 31,2°
Sklon: 72,4°
VstupnĂ­ rychlost: 12,8 km/s
Rektascenze radiantu: 02:31 (37,8°)
Deklinace radiantu: 36,1°
MeteorickĂ˝ roj: sporadickĂ˝
Elementy dráhy meteoroidu:
Vzdálenost v periheliu: 0,983 AU
Excentricita: 0,460
Sklon dráhy: 3,5°
Délka vzestupného uzlu: 305,7°
Argument perihelia: 185,1°
Střední anomálie: 358,3°
Epocha: 2021 JAN 25 19:01:39
orbit plot

NeinteraktivnĂ­ graf | InteraktivnĂ­ graf

position vs time
speed and acceleration