🇳🇴 🇬🇧 🇩🇪 🇨🇿 🇫🇮

Meteor, poloha: Ulefoss 2021-01-25 22:00:49 UTC

Soubor KML  |  InteraktivnĂ­ mapa

Mapa zobrazuje dráhy meteoru. Světlejší čáry ukazují směry od pozorovacích stanic při objevení se meteoru a tmavší čáry, kde byl naposledy viděn. Modrá šipka značí viditelnou dráhu meteoru.

static map
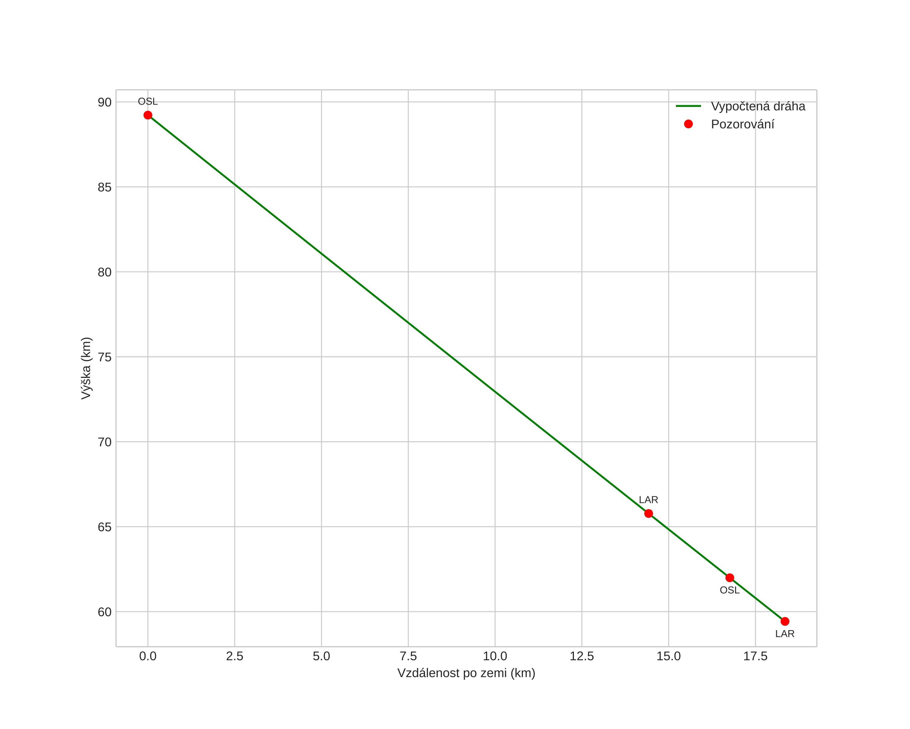
height profile
Atmosférická dráha meteoru:
Počáteční výška: 90,4 km
Konečná výška: 60,5 km
Počáteční poloha: 59,165N 9,447E
Konečná poloha: 59,309N 9,284E
Směr: 330,1°
Sklon: 58,3°
VstupnĂ­ rychlost: 22,2 km/s
Rektascenze radiantu: 08:09 (122,3°)
Deklinace radiantu: 27,6°
MeteorickĂ˝ roj: sporadickĂ˝
Elementy dráhy meteoroidu:
Vzdálenost v periheliu: 0,688 AU
Excentricita: 0,705
Sklon dráhy: 4,3°
Délka vzestupného uzlu: 305,8°
Argument perihelia: 254,3°
Střední anomálie: 348,2°
Epocha: 2021 JAN 25 22:00:49
orbit plot

NeinteraktivnĂ­ graf | InteraktivnĂ­ graf

position vs time
speed and acceleration