🇳🇴 🇬🇧 🇩🇪 🇨🇿 🇫🇮

Meteor, poloha: Notodden 2021-01-26 20:59:20 UTC

Soubor KML  |  InteraktivnĂ­ mapa

Mapa zobrazuje dráhy meteoru. Světlejší čáry ukazují směry od pozorovacích stanic při objevení se meteoru a tmavší čáry, kde byl naposledy viděn. Modrá šipka značí viditelnou dráhu meteoru.

static map
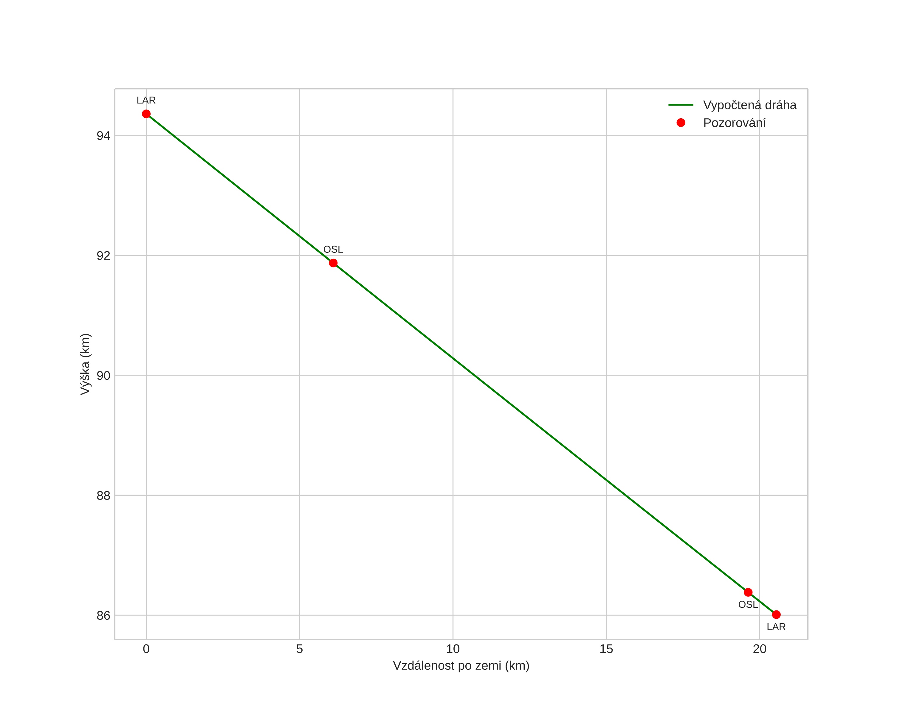
height profile
Atmosférická dráha meteoru:
Počáteční výška: 94,5 km
Konečná výška: 85,9 km
Počáteční poloha: 59,595N 9,506E
Konečná poloha: 59,659N 9,164E
Směr: 290,4°
Sklon: 22,8°
VstupnĂ­ rychlost: 39,8 km/s
Rektascenze radiantu: 10:08 (152,2°)
Deklinace radiantu: 8,6°
MeteorickĂ˝ roj: sporadickĂ˝
Elementy dráhy meteoroidu:
Vzdálenost v periheliu: 0,122 AU
Excentricita: 0,945
Sklon dráhy: 6,7°
Délka vzestupného uzlu: 126,9°
Argument perihelia: 143,5°
Střední anomálie: 349,8°
Epocha: 2021 JAN 26 20:59:20
orbit plot

NeinteraktivnĂ­ graf | InteraktivnĂ­ graf

position vs time
speed and acceleration