🇳🇴 🇬🇧 🇩🇪 🇨🇿 🇫🇮

Meteor, poloha: Hansnes 2021-01-27 00:15:06 UTC

Soubor KML  |  InteraktivnĂ­ mapa

Mapa zobrazuje dráhy meteoru. Světlejší čáry ukazují směry od pozorovacích stanic při objevení se meteoru a tmavší čáry, kde byl naposledy viděn. Modrá šipka značí viditelnou dráhu meteoru.

static map
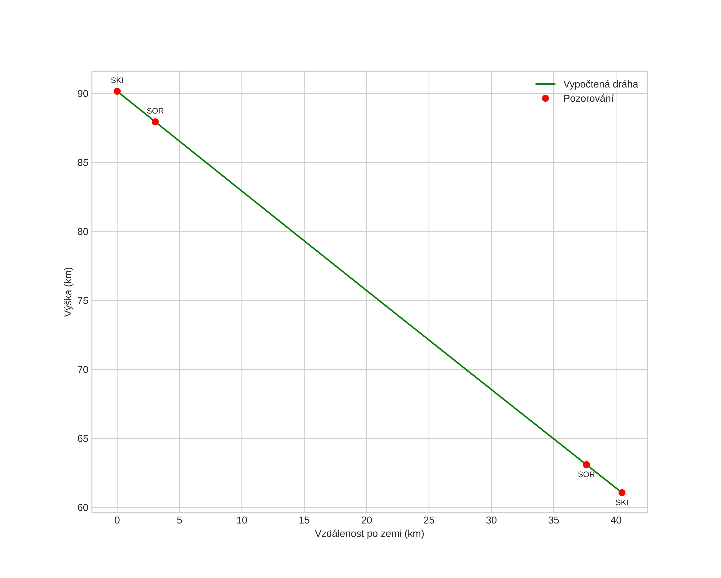
height profile
Atmosférická dráha meteoru:
Počáteční výška: 186,5 km
Konečná výška: 63,8 km
Počáteční poloha: 69,687N 17,730E
Konečná poloha: 70,746N 19,613E
Směr: 30,1°
Sklon: 41,7°
VstupnĂ­ rychlost: 23,8 km/s
Rektascenze radiantu: 08:10 (122,5°)
Deklinace radiantu: 20,5°
MeteorickĂ˝ roj: sporadickĂ˝
Elementy dráhy meteoroidu:
Vzdálenost v periheliu: 0,657 AU
Excentricita: 0,781
Sklon dráhy: 0,3°
Délka vzestupného uzlu: 306,6°
Argument perihelia: 256,4°
Střední anomálie: 352,2°
Epocha: 2021 JAN 27 00:15:06
orbit plot

NeinteraktivnĂ­ graf | InteraktivnĂ­ graf

position vs time
speed and acceleration