🇳🇴 🇬🇧 🇩🇪 🇨🇿 🇫🇮

Meteor, poloha: Åndalsnes 2021-01-27 01:24:32 UTC

Larvik 1
Larvik 1
Orsta 1
Orsta 1

Soubor KML  | Interaktivní mapa

map

Mapa zobrazuje dráhy meteoru. Světlejší čáry ukazují směry od pozorovacích stanic při objevení se meteoru a tmavší čáry, kde byl naposledy viděn. Modrá šipka značí viditelnou dráhu meteoru.

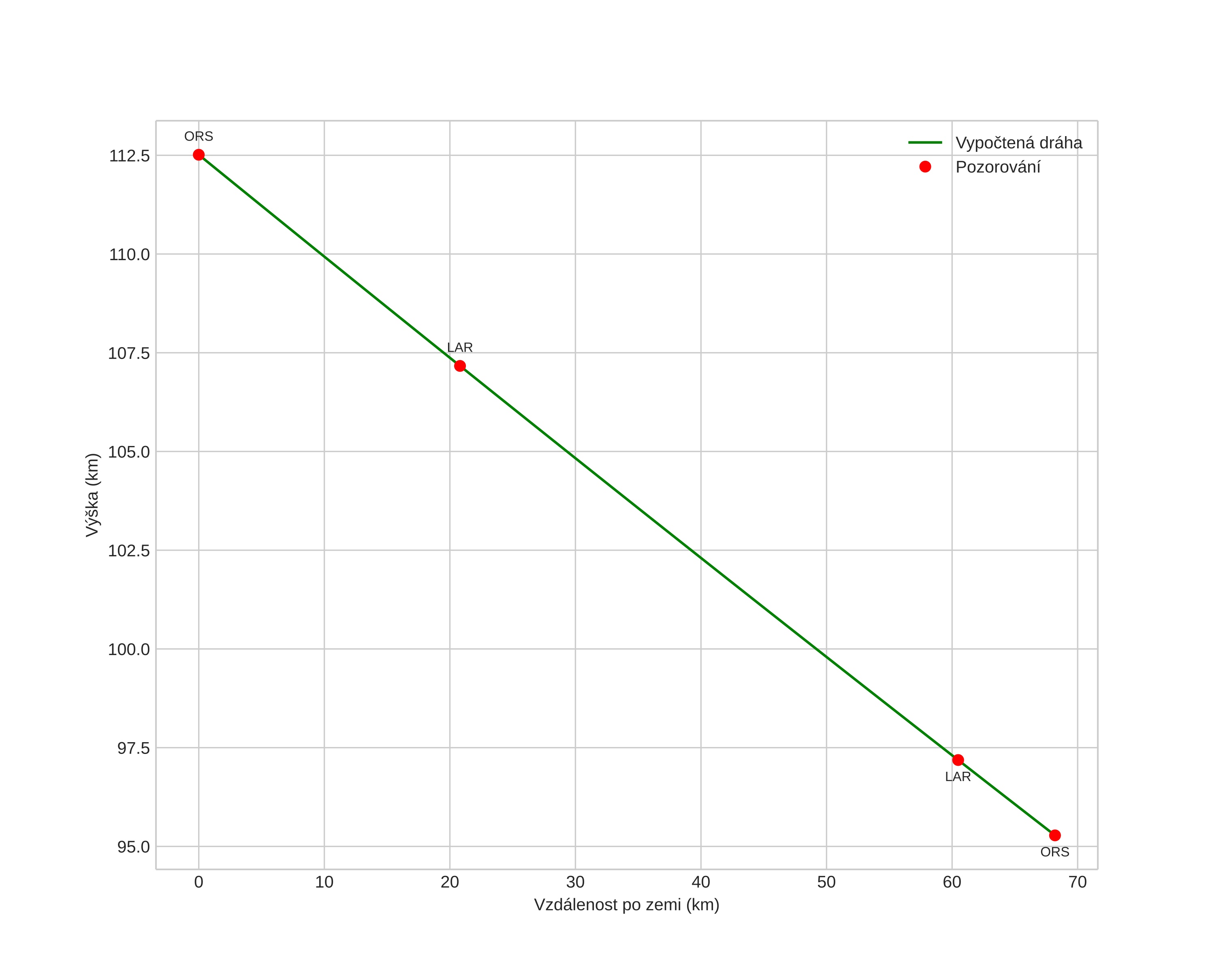
height profile
Atmosférická dráha meteoru:
Počáteční výška: 117,3 km
Konečná výška: 94,7 km
Počáteční poloha: 61,886N 8,850E
Konečná poloha: 62,186N 7,592E
Směr: 297,5°
Sklon: 17,1°
Vstupní rychlost: 72,3 km/s
Rektascenze radiantu: 14:17 (214,4°)
Deklinace radiantu: 2,5°
Meteorický roj: sporadický
Elementy dráhy meteoroidu:
Vzdálenost v periheliu: 0,961 AU
Excentricita: 1,059
Sklon dráhy: 153,7°
Délka vzestupného uzlu: 307,0°
Argument perihelia: 197,5°
Střední anomálie: -0,2°
Epocha: 2021 JAN 27 01:24:32
orbit

Neinteraktivní graf | Interaktivní graf

position vs time
speed & acceleration