🇳🇴 🇬🇧 🇩🇪 🇨🇿 🇫🇮

Meteor, poloha: Blakstad 2021-01-27 04:19:26 UTC

Soubor KML  |  InteraktivnĂ­ mapa

Mapa zobrazuje dráhy meteoru. Světlejší čáry ukazují směry od pozorovacích stanic při objevení se meteoru a tmavší čáry, kde byl naposledy viděn. Modrá šipka značí viditelnou dráhu meteoru.

static map
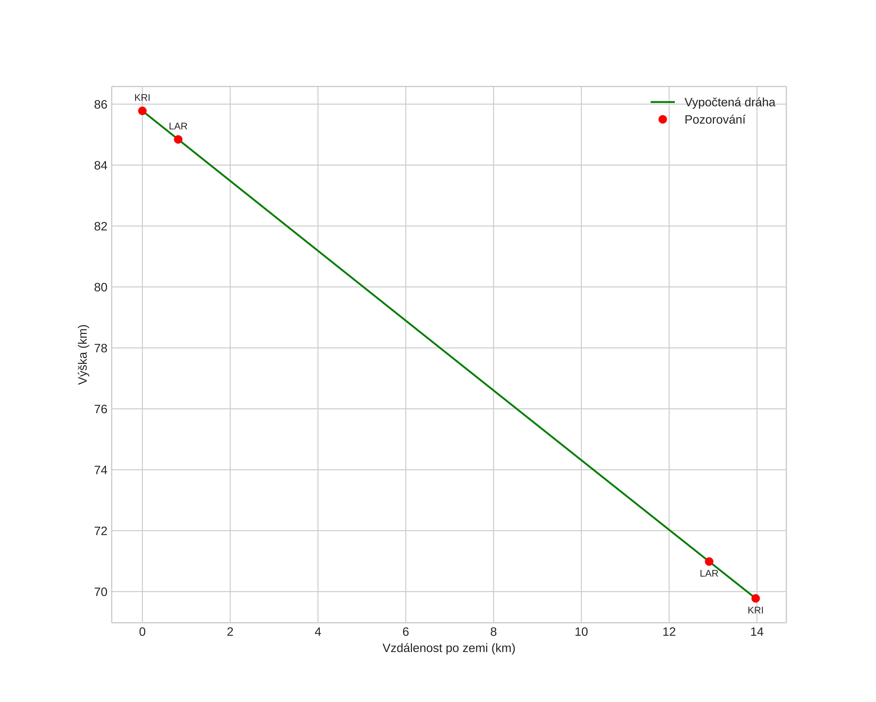
height profile
Atmosférická dráha meteoru:
Počáteční výška: 84,9 km
Konečná výška: 70,6 km
Počáteční poloha: 58,659N 8,727E
Konečná poloha: 58,547N 8,704E
Směr: 186,1°
Sklon: 48,7°
VstupnĂ­ rychlost: 17,7 km/s
Rektascenze radiantu: 00:25 (6,5°)
Deklinace radiantu: 74,4°
MeteorickĂ˝ roj: sporadickĂ˝
Elementy dráhy meteoroidu:
Vzdálenost v periheliu: 0,981 AU
Excentricita: 0,652
Sklon dráhy: 18,2°
Délka vzestupného uzlu: 307,2°
Argument perihelia: 187,9°
Střední anomálie: 358,7°
Epocha: 2021 JAN 27 04:19:26
orbit plot

NeinteraktivnĂ­ graf | InteraktivnĂ­ graf

position vs time
speed and acceleration