🇳🇴 🇬🇧 🇩🇪 🇨🇿 🇫🇮

Meteor, poloha: Vigeland 2021-01-27 04:36:41 UTC

Soubor KML  |  InteraktivnĂ­ mapa

Mapa zobrazuje dráhy meteoru. Světlejší čáry ukazují směry od pozorovacích stanic při objevení se meteoru a tmavší čáry, kde byl naposledy viděn. Modrá šipka značí viditelnou dráhu meteoru.

static map
height profile
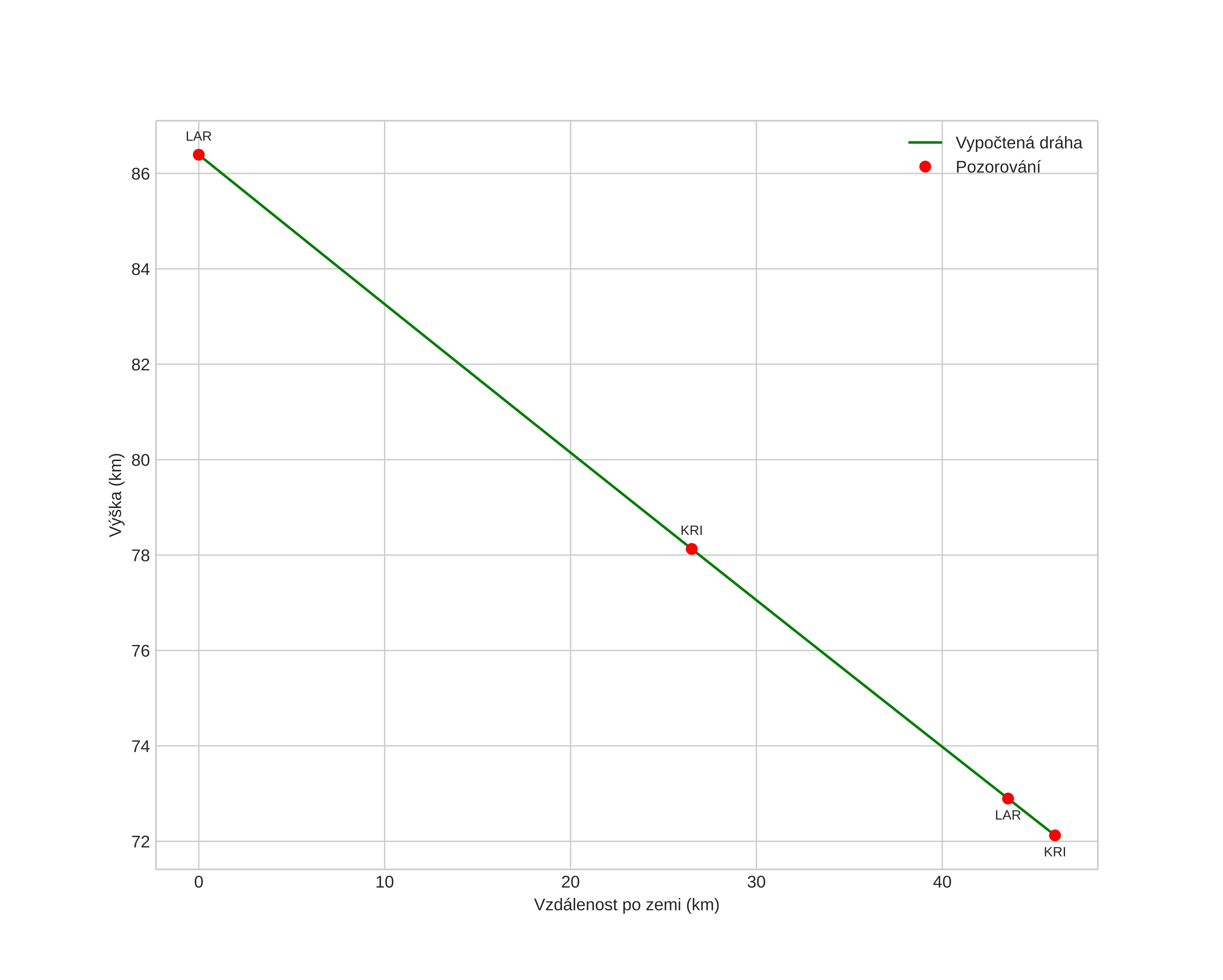
Atmosférická dráha meteoru:
Počáteční výška: 86,4 km
Konečná výška: 72,1 km
Počáteční poloha: 57,903N 6,471E
Konečná poloha: 57,852N 7,244E
Směr: 96,7°
Sklon: 17,2°
VstupnĂ­ rychlost: 18,4 km/s
Rektascenze radiantu: 07:22 (110,6°)
Deklinace radiantu: 10,2°
MeteorickĂ˝ roj: sporadickĂ˝
Elementy dráhy meteoroidu:
Vzdálenost v periheliu: 0,803 AU
Excentricita: 0,624
Sklon dráhy: 5,1°
Délka vzestupného uzlu: 127,2°
Argument perihelia: 58,6°
Střední anomálie: 347,8°
Epocha: 2021 JAN 27 04:36:41
orbit plot

NeinteraktivnĂ­ graf | InteraktivnĂ­ graf

position vs time
speed and acceleration