🇳🇴 🇬🇧 🇩🇪 🇨🇿 🇫🇮

Meteor, poloha: Årjäng 2021-01-28 23:45:51 UTC

Soubor KML  |  InteraktivnĂ­ mapa

Mapa zobrazuje dráhy meteoru. Světlejší čáry ukazují směry od pozorovacích stanic při objevení se meteoru a tmavší čáry, kde byl naposledy viděn. Modrá šipka značí viditelnou dráhu meteoru.

static map
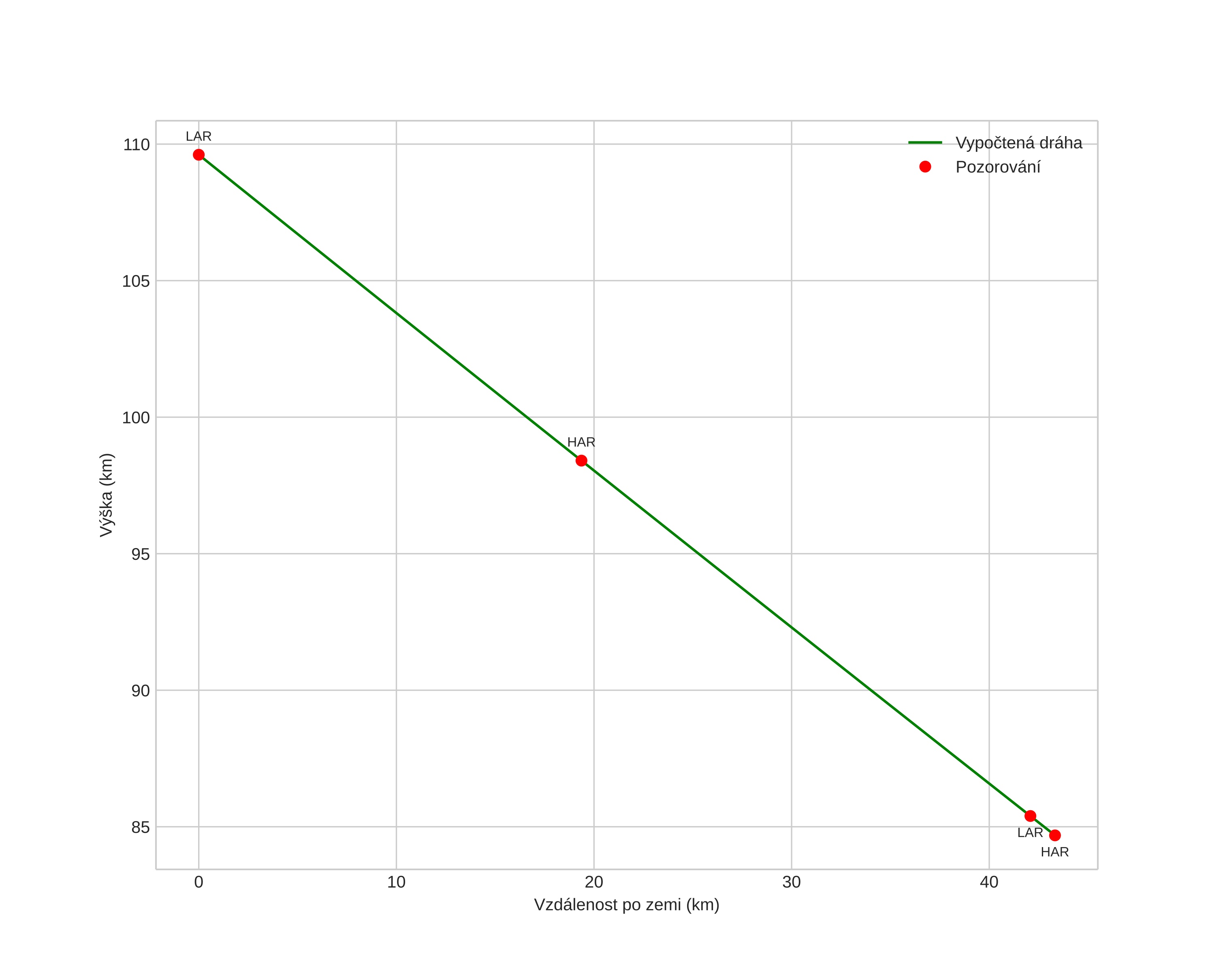
height profile
Atmosférická dráha meteoru:
Počáteční výška: 112,0 km
Konečná výška: 83,8 km
Počáteční poloha: 59,240N 12,866E
Konečná poloha: 59,261N 12,030E
Směr: 273,1°
Sklon: 30,7°
VstupnĂ­ rychlost: 66,7 km/s
Rektascenze radiantu: 13:53 (208,3°)
Deklinace radiantu: 24,2°
MeteorickĂ˝ roj: sporadickĂ˝
Elementy dráhy meteoroidu:
Vzdálenost v periheliu: 0,806 AU
Excentricita: 1,314
Sklon dráhy: 119,5°
Délka vzestupného uzlu: 309,0°
Argument perihelia: 227,2°
Střední anomálie: -6,3°
Epocha: 2021 JAN 28 23:45:51
orbit plot

NeinteraktivnĂ­ graf | InteraktivnĂ­ graf

position vs time
speed and acceleration