🇳🇴 🇬🇧 🇩🇪 🇨🇿 🇫🇮

Meteor Tjømen yllä 2021-01-29 23:10:55 UTC

KML-tiedosto  |  Interaktiivinen kartta

Kartta näyttää meteorin suuntahavainnot. Vaaleammat viivat näyttävät suunnat havaintoasemilta meteorin ilmestyessä, ja tummemmat viivat näyttävät, missä se viimeksi nähtiin. Sininen nuoli näyttää meteorin näkyvän lennon.

static map
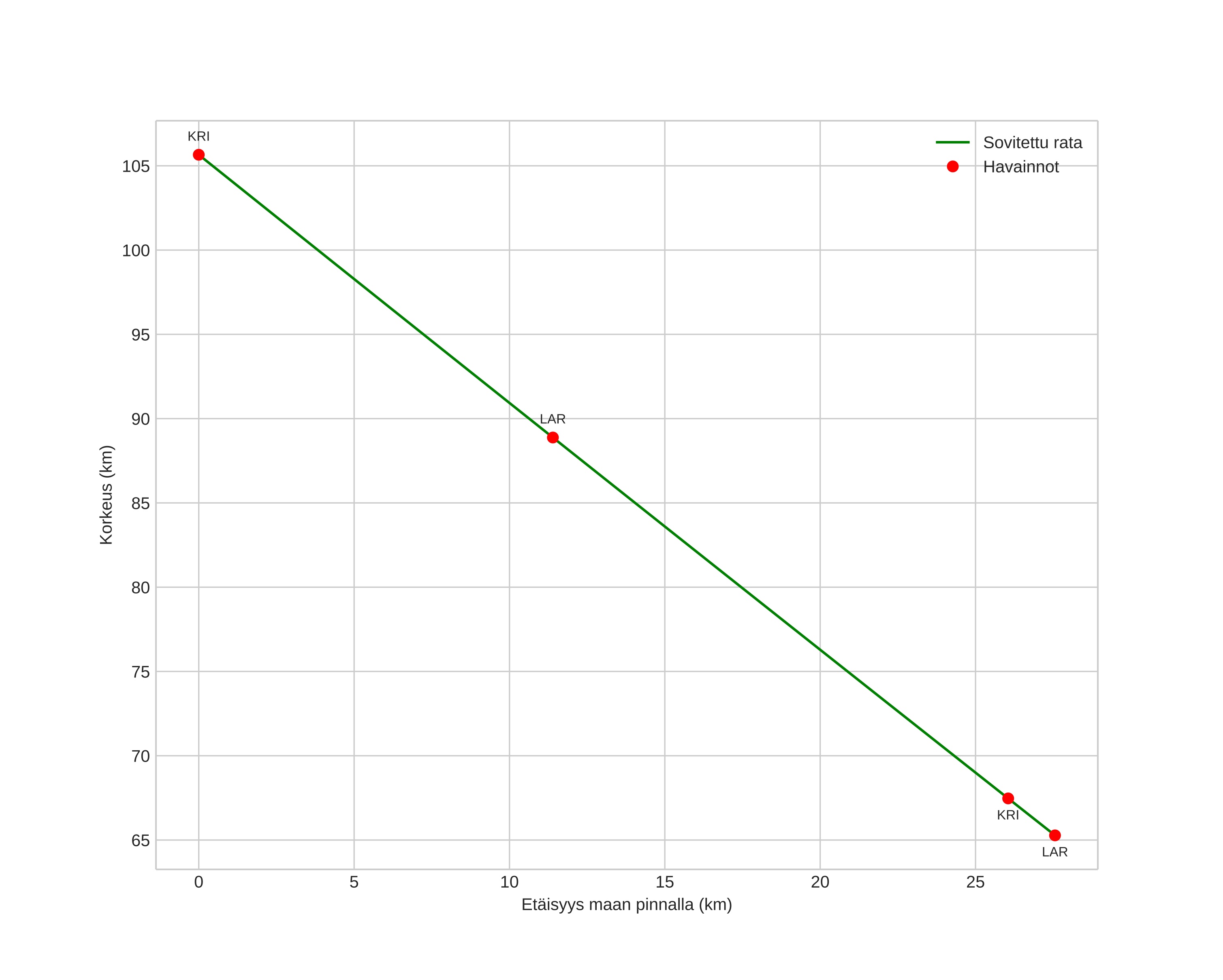
height profile
Meteorin ilmakehärata:
Alkukorkeus: 89,3 km
Loppukorkeus: 65,4 km
Alkupiste: 58,436N 10,352E
Loppupiste: 58,541N 10,544E
Suunta: 43,7°
Kallistuskulma: 55,9°
Tulonopeus: 16,8 km/s
Radiantin R,A,: 06:30 (97,6°)
Radiantin Dekl,: 24,8°
Meteoriparvi: Sporadinen
Meteoroidin rataelementit:
Perihelietäisyys: 0,896 AU
Eksentrisyys: 0,690
Inklinaatio: 0,5°
Nousevan solmun pituus: 309,8°
Perihelin argumentti: 219,1°
Keskianomalia: 354,5°
Epookki: 2021 JAN 29 23:10:55
orbit plot

Ei-interaktiivinen kuvaaja | Interaktiivinen kuvaaja

position vs time
speed and acceleration