🇳🇴 🇬🇧 🇩🇪 🇨🇿 🇫🇮

Meteor, poloha: Hol 2021-01-31 00:25:54 UTC

Soubor KML  |  InteraktivnĂ­ mapa

Mapa zobrazuje dráhy meteoru. Světlejší čáry ukazují směry od pozorovacích stanic při objevení se meteoru a tmavší čáry, kde byl naposledy viděn. Modrá šipka značí viditelnou dráhu meteoru.

static map
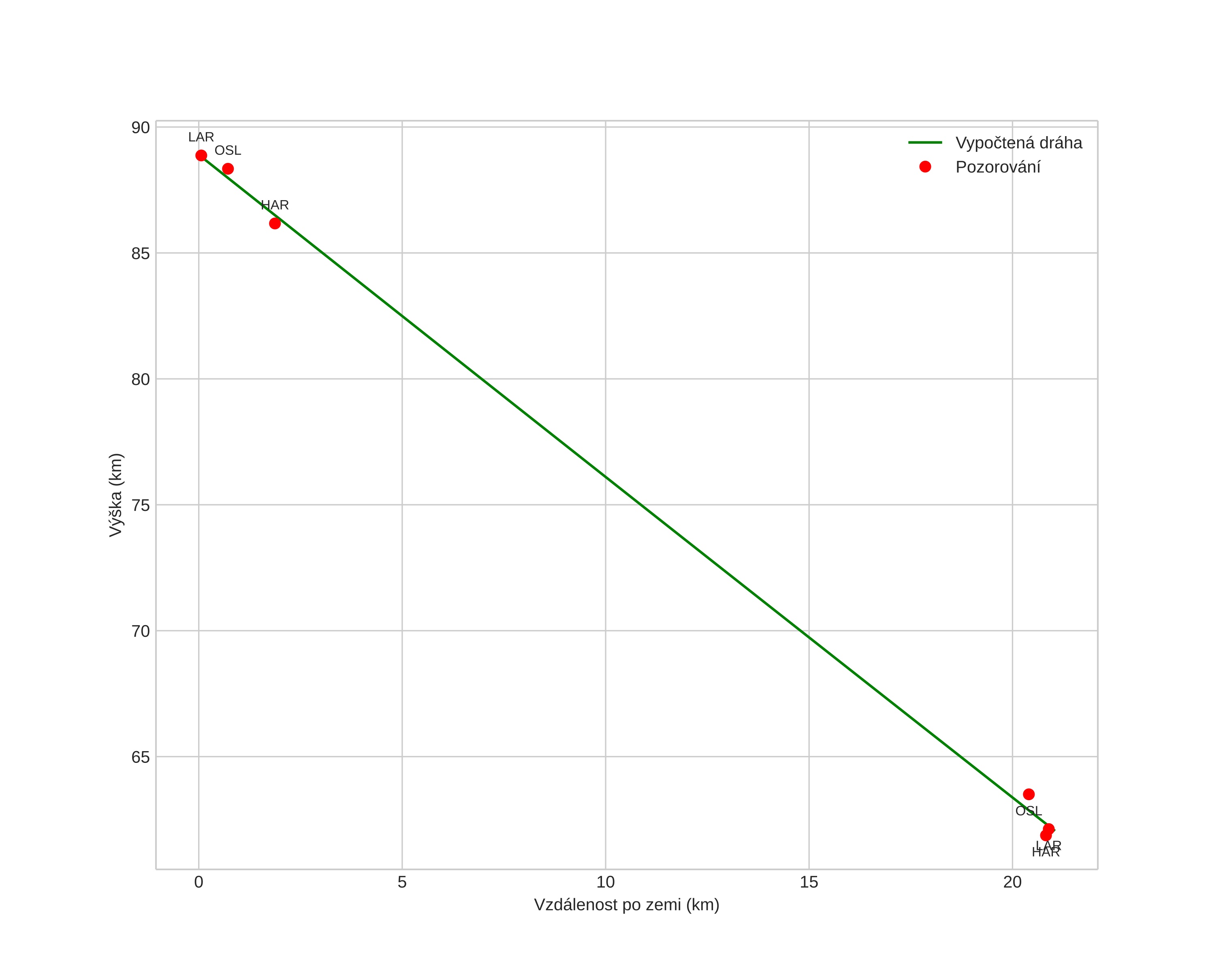
height profile
Atmosférická dráha meteoru:
Počáteční výška: 90,0 km
Konečná výška: 61,5 km
Počáteční poloha: 60,532N 8,177E
Konečná poloha: 60,731N 8,259E
Směr: 11,4°
Sklon: 51,6°
VstupnĂ­ rychlost: 27,4 km/s
Rektascenze radiantu: 09:05 (136,4°)
Deklinace radiantu: 20,7°
MeteorickĂ˝ roj: sporadickĂ˝
Elementy dráhy meteoroidu:
Vzdálenost v periheliu: 0,526 AU
Excentricita: 0,813
Sklon dráhy: 3,3°
Délka vzestupného uzlu: 311,0°
Argument perihelia: 272,2°
Střední anomálie: 351,1°
Epocha: 2021 JAN 31 00:25:54
orbit plot

NeinteraktivnĂ­ graf | InteraktivnĂ­ graf

position vs time
speed and acceleration