🇳🇴 🇬🇧 🇩🇪 🇨🇿 🇫🇮

Meteor, poloha: FosnavĂĄg 2021-02-04 02:02:17 UTC

Soubor KML  |  InteraktivnĂ­ mapa

Mapa zobrazuje dráhy meteoru. Světlejší čáry ukazují směry od pozorovacích stanic při objevení se meteoru a tmavší čáry, kde byl naposledy viděn. Modrá šipka značí viditelnou dráhu meteoru.

static map
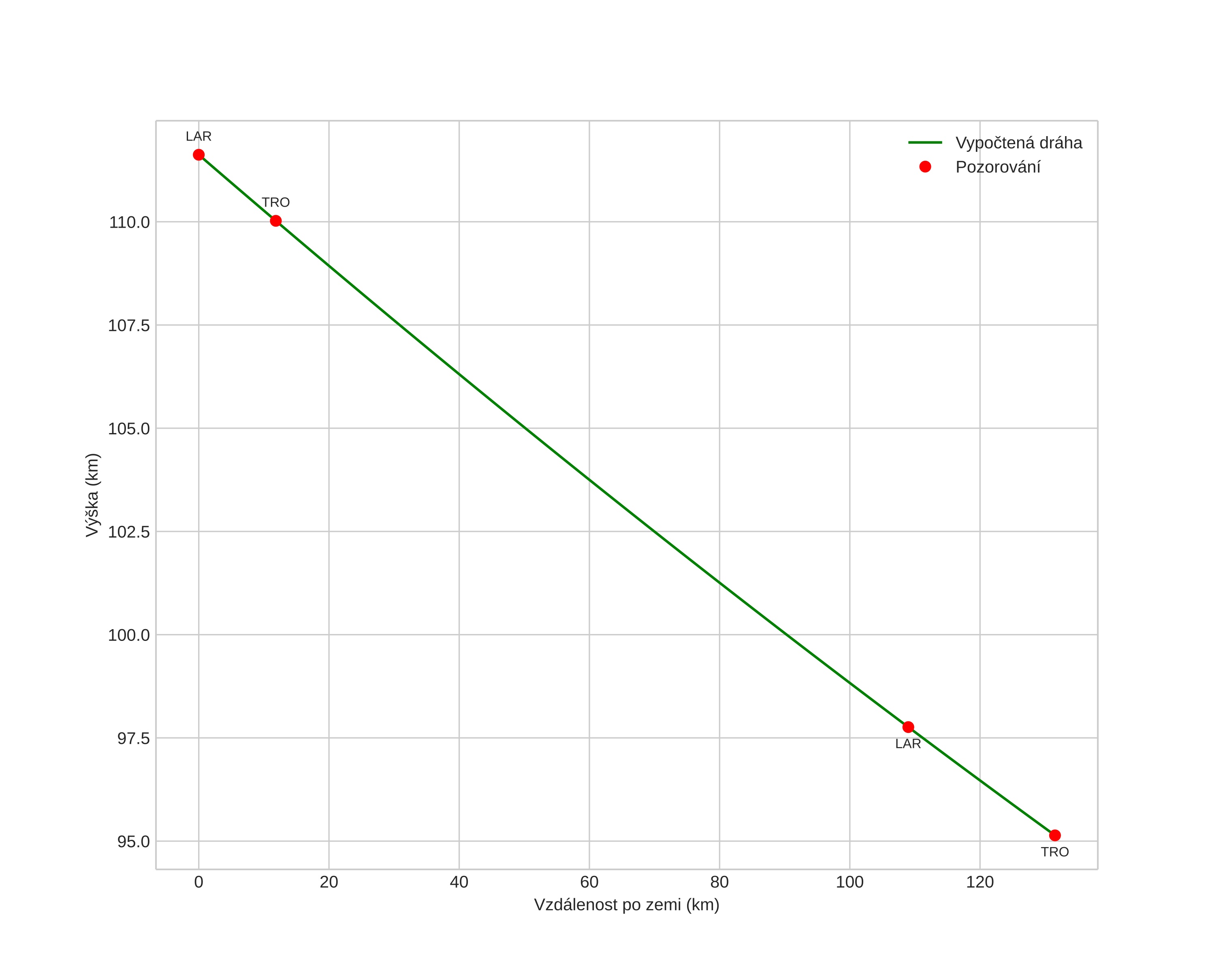
height profile
Atmosférická dráha meteoru:
Počáteční výška: 116,3 km
Konečná výška: 91,6 km
Počáteční poloha: 61,053N 7,234E
Konečná poloha: 62,744N 5,245E
Směr: 331,9°
Sklon: 6,6°
VstupnĂ­ rychlost: 68,0 km/s
Rektascenze radiantu: 13:26 (201,6°)
Deklinace radiantu: -19,5°
MeteorickĂ˝ roj: sporadickĂ˝
Elementy dráhy meteoroidu:
Vzdálenost v periheliu: 0,710 AU
Excentricita: 0,834
Sklon dráhy: 160,9°
Délka vzestupného uzlu: 135,2°
Argument perihelia: 67,3°
Střední anomálie: 355,8°
Epocha: 2021 FEB 04 02:02:17
orbit plot

NeinteraktivnĂ­ graf | InteraktivnĂ­ graf

position vs time
speed and acceleration