🇳🇴 🇬🇧 🇩🇪 🇨🇿 🇫🇮

Meteor, poloha: Fevik 2021-02-04 20:29:58 UTC

Soubor KML  |  InteraktivnĂ­ mapa

Mapa zobrazuje dráhy meteoru. Světlejší čáry ukazují směry od pozorovacích stanic při objevení se meteoru a tmavší čáry, kde byl naposledy viděn. Modrá šipka značí viditelnou dráhu meteoru.

static map
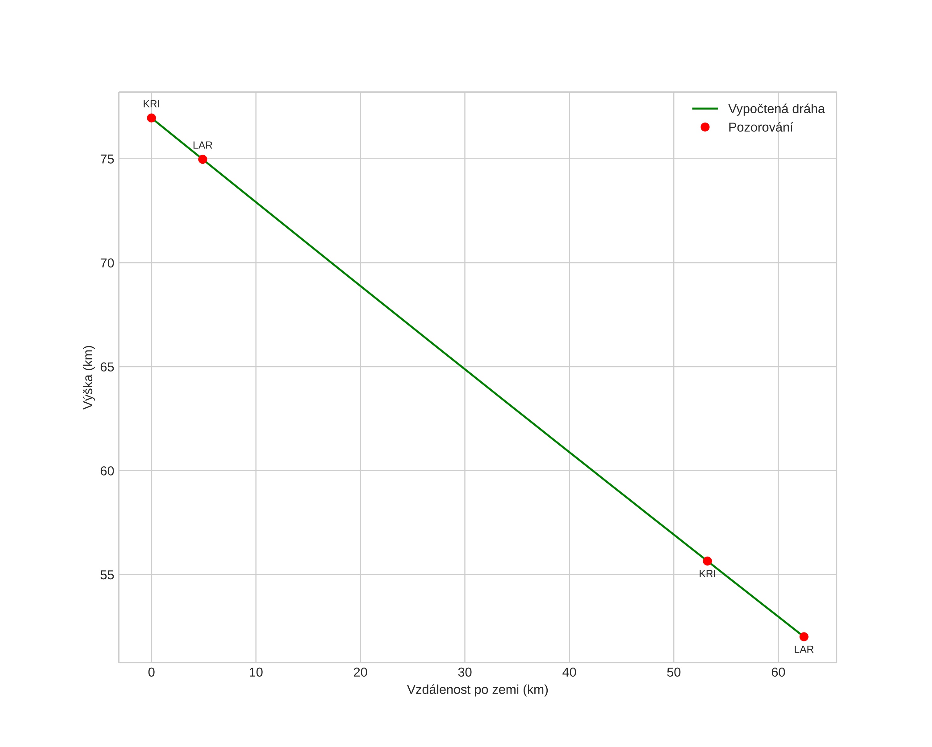
height profile
Atmosférická dráha meteoru:
Počáteční výška: 78,0 km
Konečná výška: 51,4 km
Počáteční poloha: 58,307N 7,665E
Konečná poloha: 58,203N 8,790E
Směr: 99,5°
Sklon: 21,7°
VstupnĂ­ rychlost: 14,1 km/s
Rektascenze radiantu: 23:36 (354,0°)
Deklinace radiantu: 7,9°
MeteorickĂ˝ roj: sporadickĂ˝
Elementy dráhy meteoroidu:
Vzdálenost v periheliu: 0,935 AU
Excentricita: 0,530
Sklon dráhy: 2,4°
Délka vzestupného uzlu: 315,9°
Argument perihelia: 148,5°
Střední anomálie: 8,5°
Epocha: 2021 FEB 04 20:29:58
orbit plot

NeinteraktivnĂ­ graf | InteraktivnĂ­ graf

position vs time
speed and acceleration