🇳🇴 🇬🇧 🇩🇪 🇨🇿 🇫🇮

Meteor, poloha: Bygland 2021-02-04 23:16:35 UTC

Soubor KML  |  InteraktivnĂ­ mapa

Mapa zobrazuje dráhy meteoru. Světlejší čáry ukazují směry od pozorovacích stanic při objevení se meteoru a tmavší čáry, kde byl naposledy viděn. Modrá šipka značí viditelnou dráhu meteoru.

static map
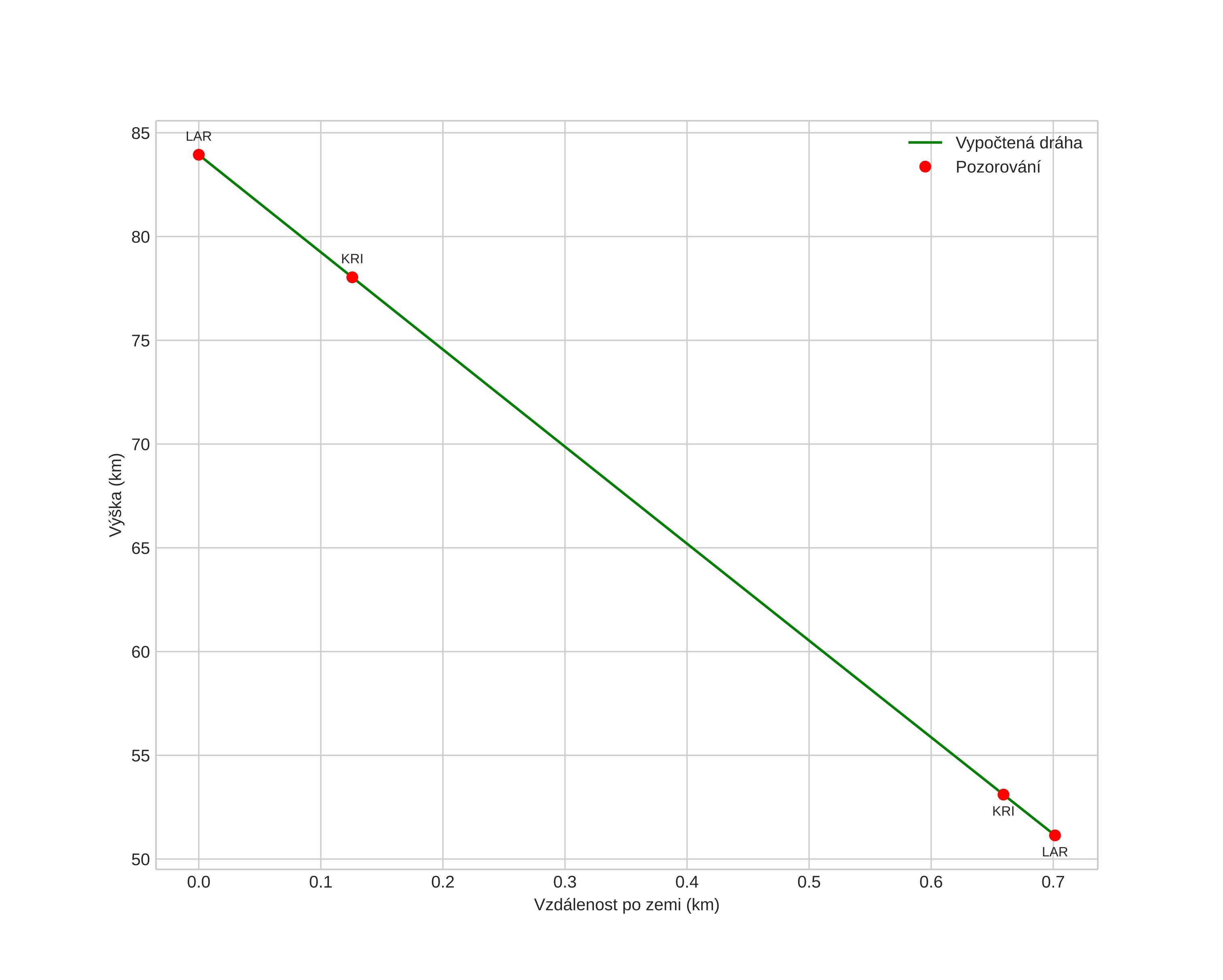
height profile
Atmosférická dráha meteoru:
Počáteční výška: 85,8 km
Konečná výška: 50,5 km
Počáteční poloha: 58,862N 7,985E
Konečná poloha: 58,855N 7,979E
Směr: 201,3°
Sklon: 88,6°
VstupnĂ­ rychlost: 19,5 km/s
Rektascenze radiantu: 08:46 (131,5°)
Deklinace radiantu: 60,2°
MeteorickĂ˝ roj: sporadickĂ˝
Elementy dráhy meteoroidu:
Vzdálenost v periheliu: 0,873 AU
Excentricita: 0,630
Sklon dráhy: 16,8°
Délka vzestupného uzlu: 316,1°
Argument perihelia: 225,4°
Střední anomálie: 351,3°
Epocha: 2021 FEB 04 23:16:35
orbit plot

NeinteraktivnĂ­ graf | InteraktivnĂ­ graf

position vs time
speed and acceleration