🇳🇴 🇬🇧 🇩🇪 🇨🇿 🇫🇮

Meteor, poloha: Lesja 2021-02-05 20:50:22 UTC

Soubor KML  |  InteraktivnĂ­ mapa

Mapa zobrazuje dráhy meteoru. Světlejší čáry ukazují směry od pozorovacích stanic při objevení se meteoru a tmavší čáry, kde byl naposledy viděn. Modrá šipka značí viditelnou dráhu meteoru.

static map
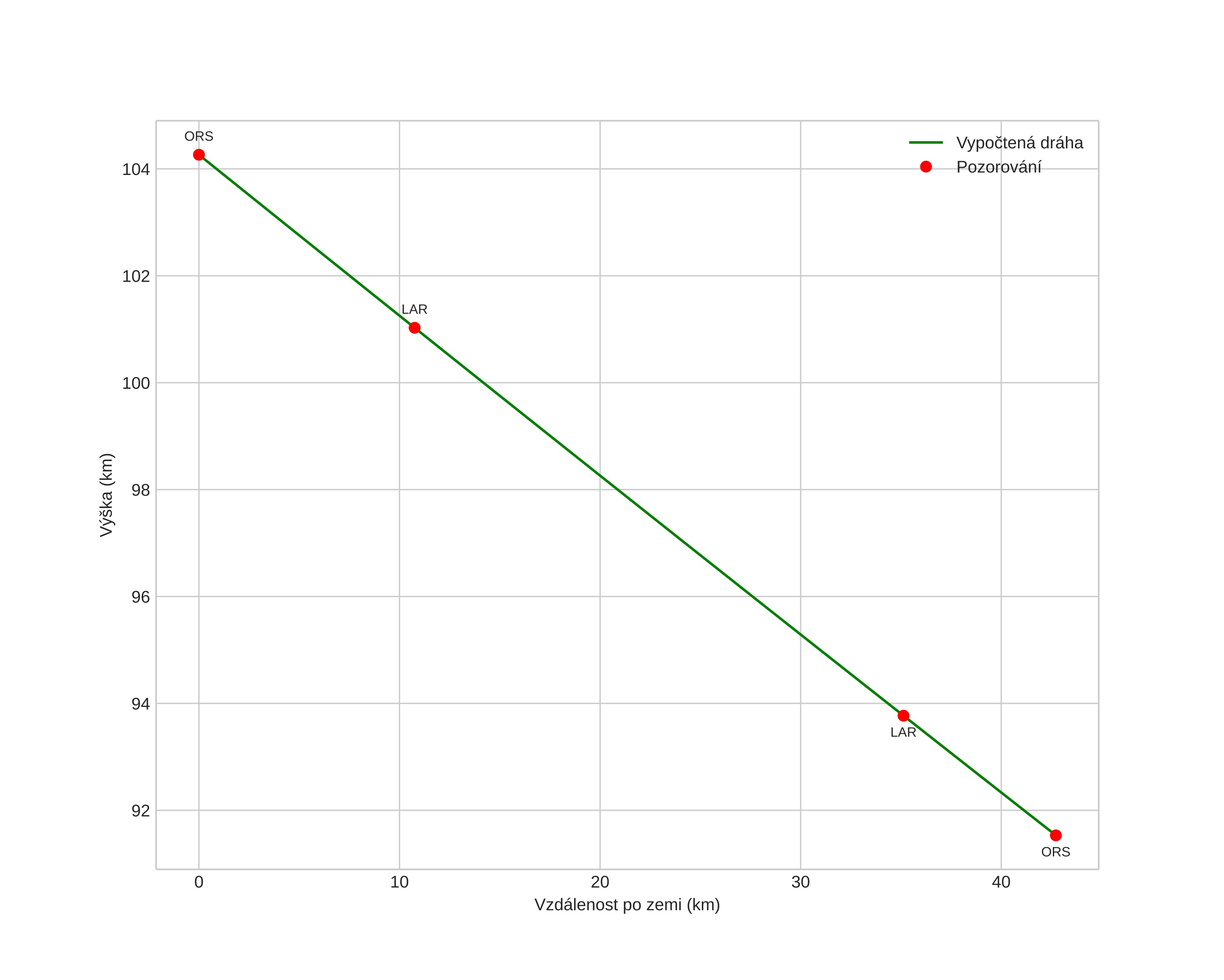
height profile
Atmosférická dráha meteoru:
Počáteční výška: 104,4 km
Konečná výška: 91,3 km
Počáteční poloha: 62,308N 9,640E
Konečná poloha: 62,090N 8,952E
Směr: 236,2°
Sklon: 16,9°
VstupnĂ­ rychlost: 55,6 km/s
Rektascenze radiantu: 14:06 (211,6°)
Deklinace radiantu: 29,8°
MeteorickĂ˝ roj: sporadickĂ˝
Elementy dráhy meteoroidu:
Vzdálenost v periheliu: 0,711 AU
Excentricita: 0,891
Sklon dráhy: 99,7°
Délka vzestupného uzlu: 317,0°
Argument perihelia: 245,9°
Střední anomálie: 357,8°
Epocha: 2021 FEB 05 20:50:22
orbit plot

NeinteraktivnĂ­ graf | InteraktivnĂ­ graf

position vs time
speed and acceleration