🇳🇴 🇬🇧 🇩🇪 🇨🇿 🇫🇮

Meteor, poloha: Nordfjordeid 2021-02-07 17:13:34 UTC

Soubor KML  |  InteraktivnĂ­ mapa

Mapa zobrazuje dráhy meteoru. Světlejší čáry ukazují směry od pozorovacích stanic při objevení se meteoru a tmavší čáry, kde byl naposledy viděn. Modrá šipka značí viditelnou dráhu meteoru.

static map
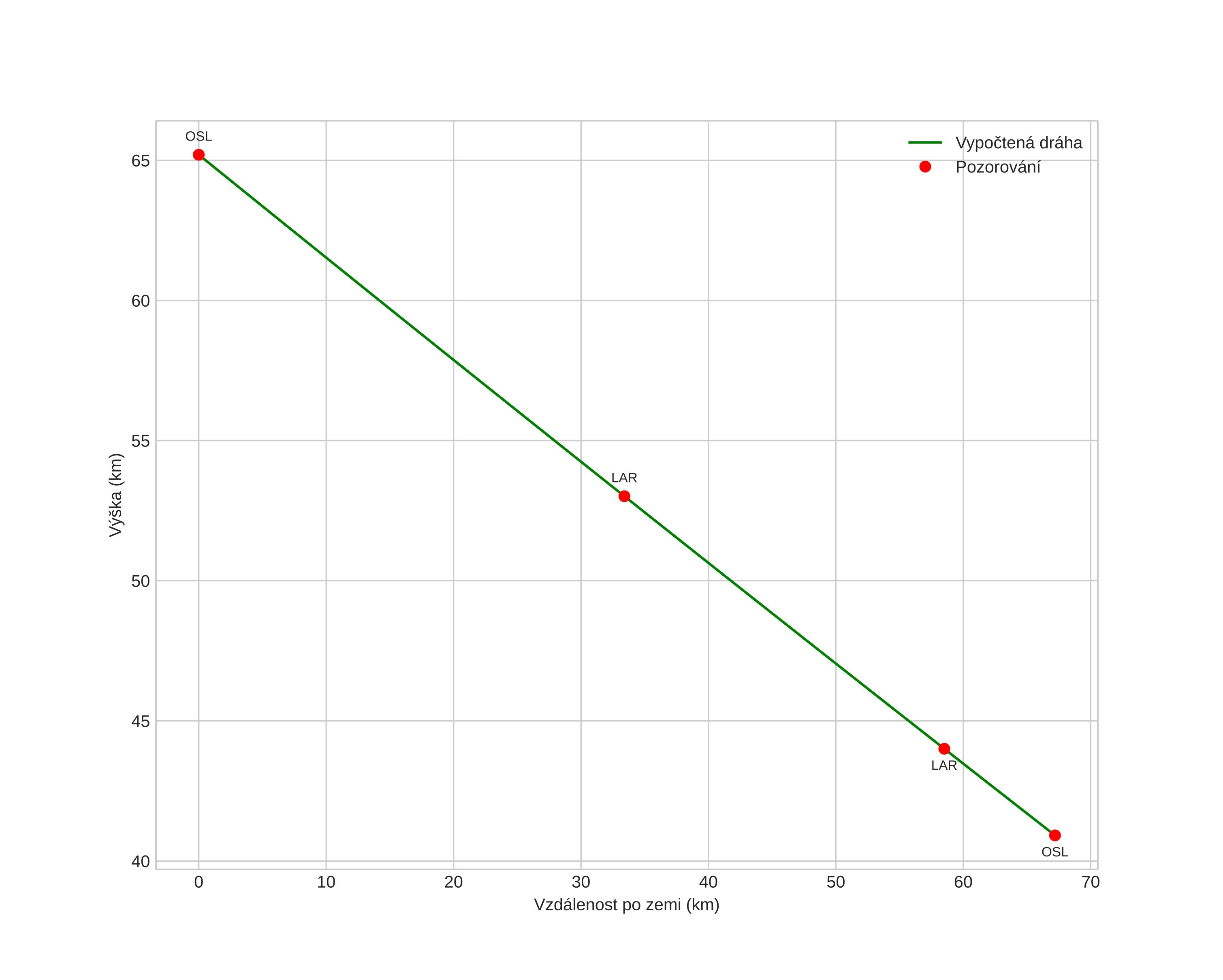
height profile
Atmosférická dráha meteoru:
Počáteční výška: 62,4 km
Konečná výška: 41,4 km
Počáteční poloha: 61,874N 4,793E
Konečná poloha: 61,885N 6,022E
Směr: 88,4°
Sklon: 18,1°
VstupnĂ­ rychlost: 34,1 km/s
Rektascenze radiantu: 21:19 (319,8°)
Deklinace radiantu: 12,9°
MeteorickĂ˝ roj: sporadickĂ˝
Elementy dráhy meteoroidu:
Vzdálenost v periheliu: 0,657 AU
Excentricita: 1,313
Sklon dráhy: 23,4°
Délka vzestupného uzlu: 318,9°
Argument perihelia: 114,3°
Střední anomálie: 10,1°
Epocha: 2021 FEB 07 17:13:34
orbit plot

NeinteraktivnĂ­ graf | InteraktivnĂ­ graf

position vs time
speed and acceleration