🇳🇴 🇬🇧 🇩🇪 🇨🇿 🇫🇮

Meteor, poloha: Innbygda 2021-02-07 18:09:55 UTC

Soubor KML  |  InteraktivnĂ­ mapa

Mapa zobrazuje dráhy meteoru. Světlejší čáry ukazují směry od pozorovacích stanic při objevení se meteoru a tmavší čáry, kde byl naposledy viděn. Modrá šipka značí viditelnou dráhu meteoru.

static map
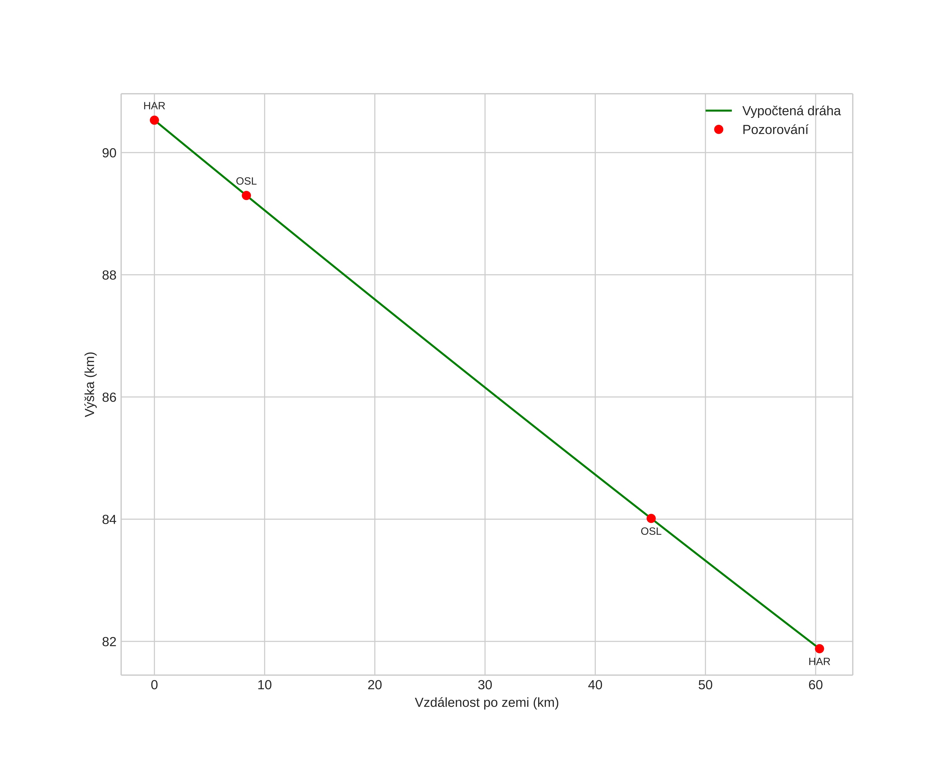
height profile
Atmosférická dráha meteoru:
Počáteční výška: 96,6 km
Konečná výška: 85,4 km
Počáteční poloha: 60,934N 13,805E
Konečná poloha: 60,971N 12,761E
Směr: 274,6°
Sklon: 11,2°
VstupnĂ­ rychlost: 31,6 km/s
Rektascenze radiantu: 09:43 (146,0°)
Deklinace radiantu: 5,0°
MeteorickĂ˝ roj: sporadickĂ˝
Elementy dráhy meteoroidu:
Vzdálenost v periheliu: 0,417 AU
Excentricita: 0,871
Sklon dráhy: 9,0°
Délka vzestupného uzlu: 138,9°
Argument perihelia: 103,9°
Střední anomálie: 353,0°
Epocha: 2021 FEB 07 18:09:55
orbit plot

NeinteraktivnĂ­ graf | InteraktivnĂ­ graf

position vs time
speed and acceleration