🇳🇴 🇬🇧 🇩🇪 🇨🇿 🇫🇮

Meteor, poloha: Herre 2021-02-10 19:36:51 UTC

Soubor KML  |  InteraktivnĂ­ mapa

Mapa zobrazuje dráhy meteoru. Světlejší čáry ukazují směry od pozorovacích stanic při objevení se meteoru a tmavší čáry, kde byl naposledy viděn. Modrá šipka značí viditelnou dráhu meteoru.

static map
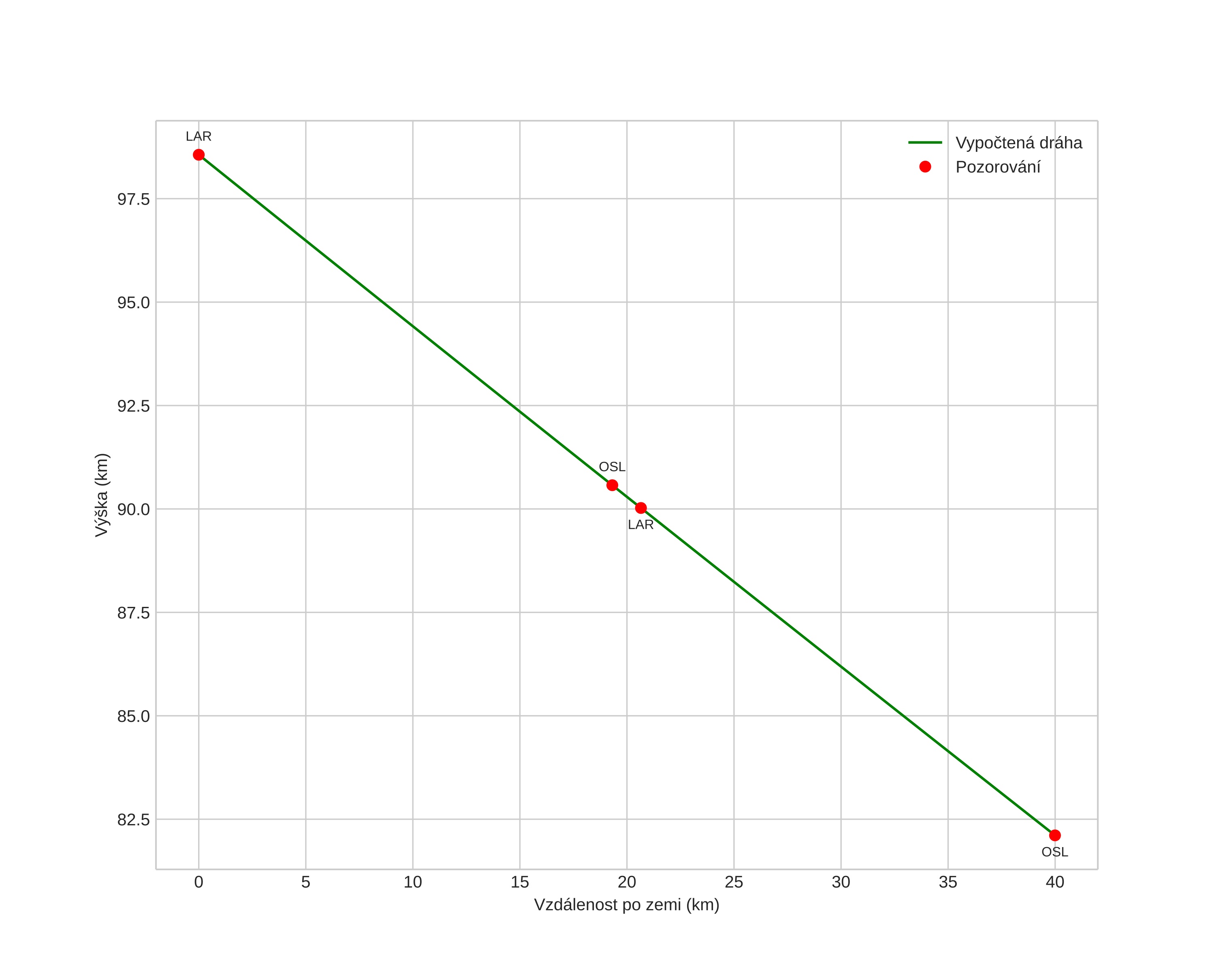
height profile
Atmosférická dráha meteoru:
Počáteční výška: 98,1 km
Konečná výška: 82,0 km
Počáteční poloha: 58,943N 10,229E
Konečná poloha: 59,018N 9,545E
Směr: 282,4°
Sklon: 21,9°
VstupnĂ­ rychlost: 31,1 km/s
Rektascenze radiantu: 10:18 (154,6°)
Deklinace radiantu: 10,4°
MeteorickĂ˝ roj: sporadickĂ˝
Elementy dráhy meteoroidu:
Vzdálenost v periheliu: 0,370 AU
Excentricita: 0,835
Sklon dráhy: 0,1°
Délka vzestupného uzlu: 142,6°
Argument perihelia: 111,4°
Střední anomálie: 347,5°
Epocha: 2021 FEB 10 19:36:51
orbit plot

NeinteraktivnĂ­ graf | InteraktivnĂ­ graf

position vs time
speed and acceleration