🇳🇴 🇬🇧 🇩🇪 🇨🇿 🇫🇮

Meteor, poloha: Risør 2021-02-11 22:48:08 UTC

Soubor KML  |  InteraktivnĂ­ mapa

Mapa zobrazuje dráhy meteoru. Světlejší čáry ukazují směry od pozorovacích stanic při objevení se meteoru a tmavší čáry, kde byl naposledy viděn. Modrá šipka značí viditelnou dráhu meteoru.

static map
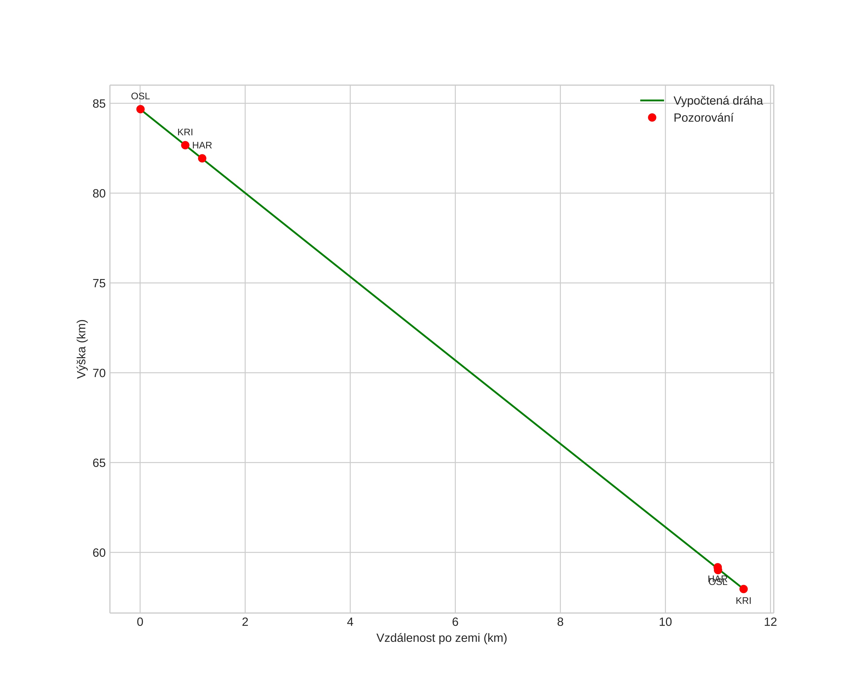
height profile
Atmosférická dráha meteoru:
Počáteční výška: 84,3 km
Konečná výška: 57,9 km
Počáteční poloha: 58,296N 9,125E
Konečná poloha: 58,228N 9,270E
Směr: 131,6°
Sklon: 66,7°
VstupnĂ­ rychlost: 16,1 km/s
Rektascenze radiantu: 04:53 (73,5°)
Deklinace radiantu: 65,5°
MeteorickĂ˝ roj: sporadickĂ˝
Elementy dráhy meteoroidu:
Vzdálenost v periheliu: 0,976 AU
Excentricita: 0,684
Sklon dráhy: 11,9°
Délka vzestupného uzlu: 323,1°
Argument perihelia: 193,4°
Střední anomálie: 358,1°
Epocha: 2021 FEB 11 22:48:08
orbit plot

NeinteraktivnĂ­ graf | InteraktivnĂ­ graf

position vs time
speed and acceleration