🇳🇴 🇬🇧 🇩🇪 🇨🇿 🇫🇮

Meteor, poloha: Bruflat 2021-02-12 20:45:48 UTC

Soubor KML  |  InteraktivnĂ­ mapa

Mapa zobrazuje dráhy meteoru. Světlejší čáry ukazují směry od pozorovacích stanic při objevení se meteoru a tmavší čáry, kde byl naposledy viděn. Modrá šipka značí viditelnou dráhu meteoru.

static map
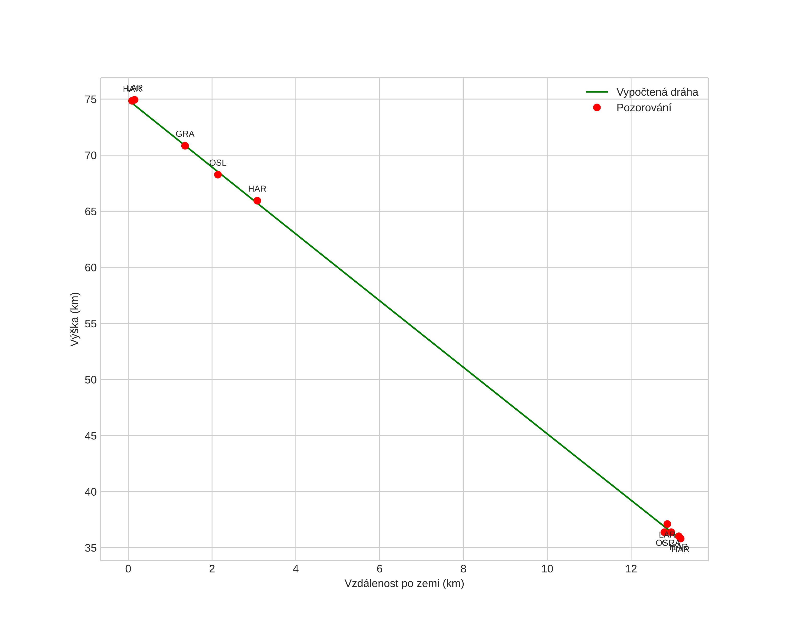
height profile
Atmosférická dráha meteoru:
Počáteční výška: 78,4 km
Konečná výška: 35,3 km
Počáteční poloha: 60,993N 10,001E
Konečná poloha: 61,103N 9,846E
Směr: 325,9°
Sklon: 71,0°
VstupnĂ­ rychlost: 16,4 km/s
Rektascenze radiantu: 07:56 (119,2°)
Deklinace radiantu: 41,5°
MeteorickĂ˝ roj: sporadickĂ˝
Elementy dráhy meteoroidu:
Vzdálenost v periheliu: 0,905 AU
Excentricita: 0,594
Sklon dráhy: 6,6°
Délka vzestupného uzlu: 324,1°
Argument perihelia: 219,1°
Střední anomálie: 351,5°
Epocha: 2021 FEB 12 20:45:48
orbit plot

NeinteraktivnĂ­ graf | InteraktivnĂ­ graf

position vs time
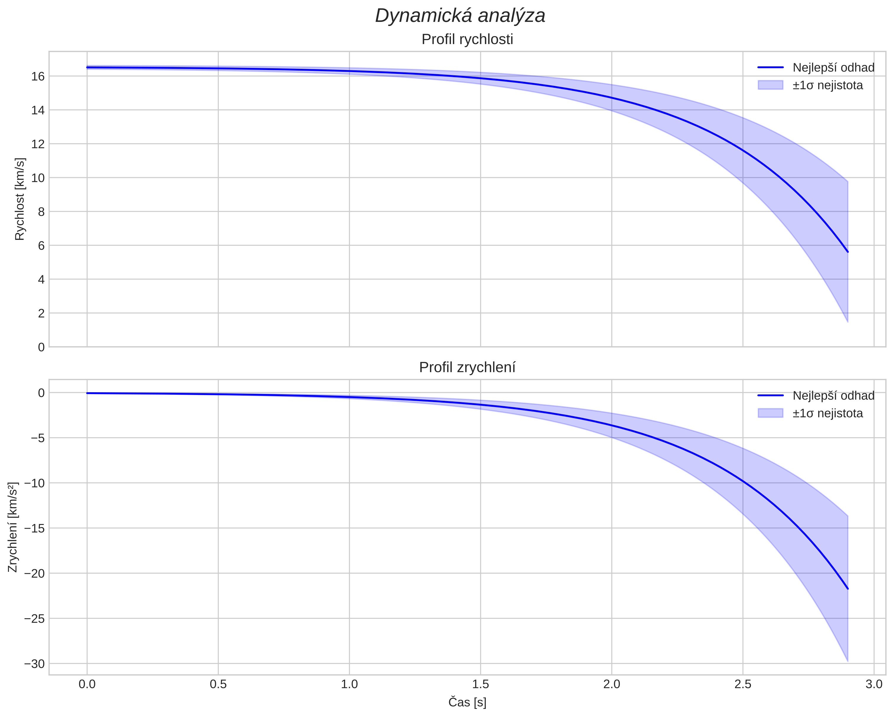
speed and acceleration