🇳🇴 🇬🇧 🇩🇪 🇨🇿 🇫🇮

Meteor, poloha: Ă…ndalsnes 2021-02-13 00:38:16 UTC

Soubor KML  |  InteraktivnĂ­ mapa

Mapa zobrazuje dráhy meteoru. Světlejší čáry ukazují směry od pozorovacích stanic při objevení se meteoru a tmavší čáry, kde byl naposledy viděn. Modrá šipka značí viditelnou dráhu meteoru.

static map
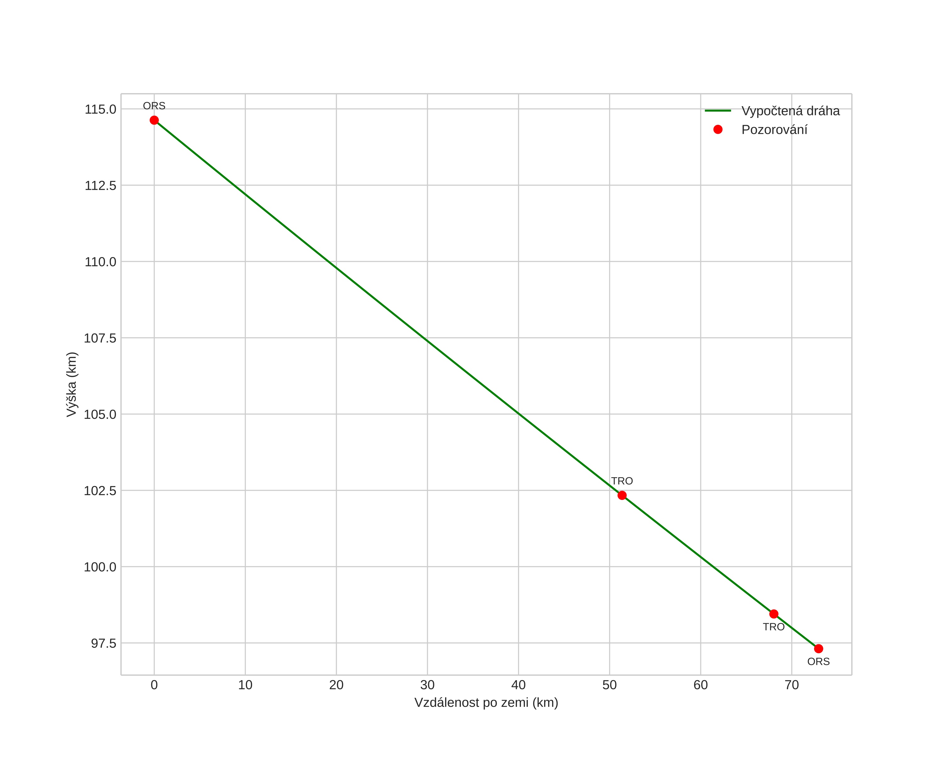
height profile
Atmosférická dráha meteoru:
Počáteční výška: 113,9 km
Konečná výška: 97,2 km
Počáteční poloha: 62,452N 9,080E
Konečná poloha: 62,657N 7,783E
Směr: 289,6°
Sklon: 13,4°
VstupnĂ­ rychlost: 67,9 km/s
Rektascenze radiantu: 15:13 (228,4°)
Deklinace radiantu: 2,6°
MeteorickĂ˝ roj: sporadickĂ˝
Elementy dráhy meteoroidu:
Vzdálenost v periheliu: 0,925 AU
Excentricita: 0,816
Sklon dráhy: 144,6°
Délka vzestupného uzlu: 324,2°
Argument perihelia: 210,7°
Střední anomálie: 358,1°
Epocha: 2021 FEB 13 00:38:16
orbit plot

NeinteraktivnĂ­ graf | InteraktivnĂ­ graf

position vs time
speed and acceleration