🇳🇴 🇬🇧 🇩🇪 🇨🇿 🇫🇮

Meteor, poloha: Järna 2021-02-13 03:11:05 UTC

Soubor KML  |  InteraktivnĂ­ mapa

Mapa zobrazuje dráhy meteoru. Světlejší čáry ukazují směry od pozorovacích stanic při objevení se meteoru a tmavší čáry, kde byl naposledy viděn. Modrá šipka značí viditelnou dráhu meteoru.

static map
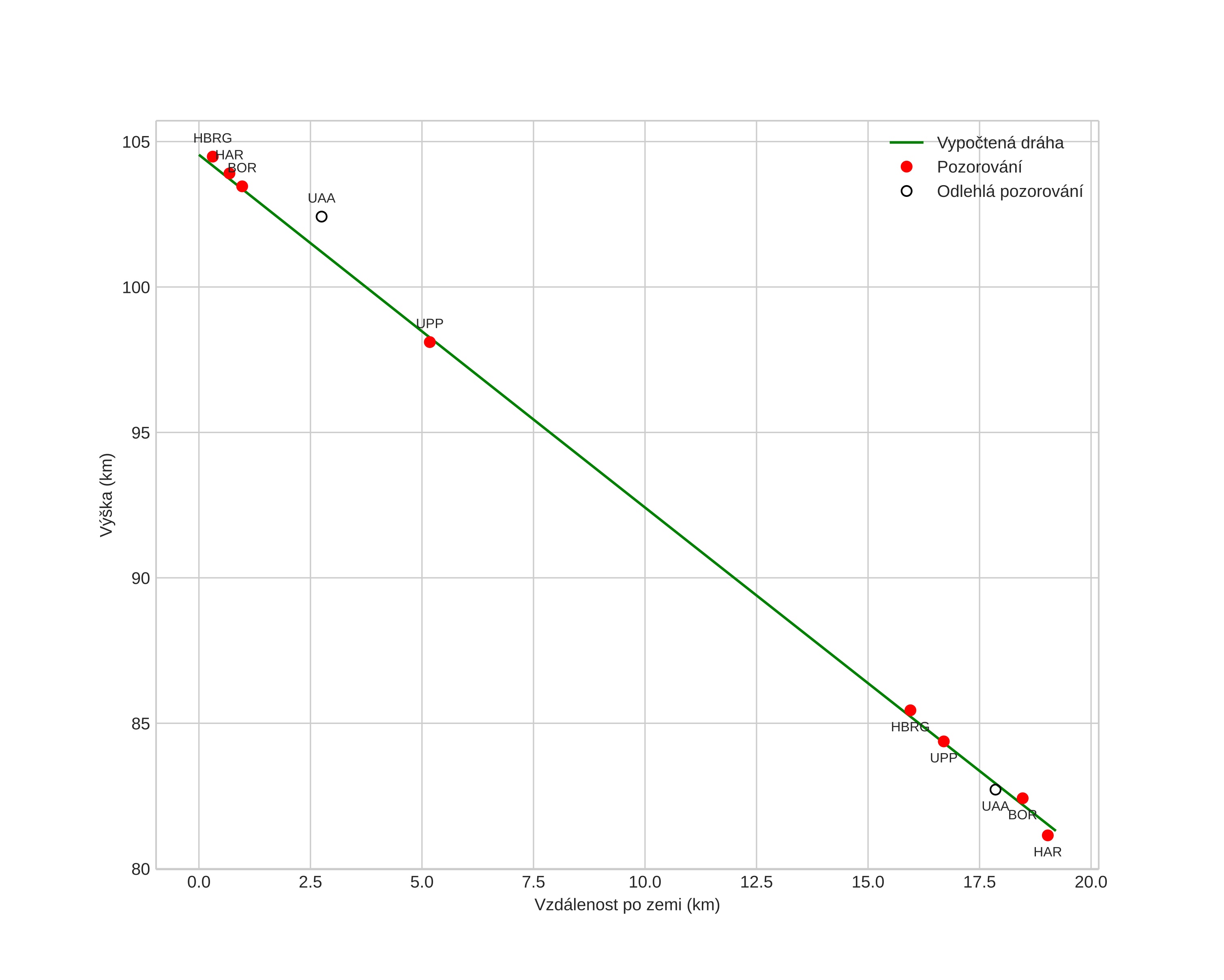
height profile
Atmosférická dráha meteoru:
Počáteční výška: 104,6 km
Konečná výška: 82,2 km
Počáteční poloha: 60,456N 14,767E
Konečná poloha: 60,550N 14,493E
Směr: 304,8°
Sklon: 50,8°
VstupnĂ­ rychlost: 57,1 km/s
Rektascenze radiantu: 16:09 (242,3°)
Deklinace radiantu: 29,4°
MeteorickĂ˝ roj: sporadickĂ˝
Elementy dráhy meteoroidu:
Vzdálenost v periheliu: 0,986 AU
Excentricita: 1,042
Sklon dráhy: 98,4°
Délka vzestupného uzlu: 324,3°
Argument perihelia: 183,7°
Střední anomálie: -0,0°
Epocha: 2021 FEB 13 03:11:05
orbit plot

NeinteraktivnĂ­ graf | InteraktivnĂ­ graf

position vs time
speed and acceleration