🇳🇴 🇬🇧 🇩🇪 🇨🇿 🇫🇮

Meteor, poloha: Hönö 2021-02-13 04:43:44 UTC

Soubor KML  |  InteraktivnĂ­ mapa

Mapa zobrazuje dráhy meteoru. Světlejší čáry ukazují směry od pozorovacích stanic při objevení se meteoru a tmavší čáry, kde byl naposledy viděn. Modrá šipka značí viditelnou dráhu meteoru.

static map
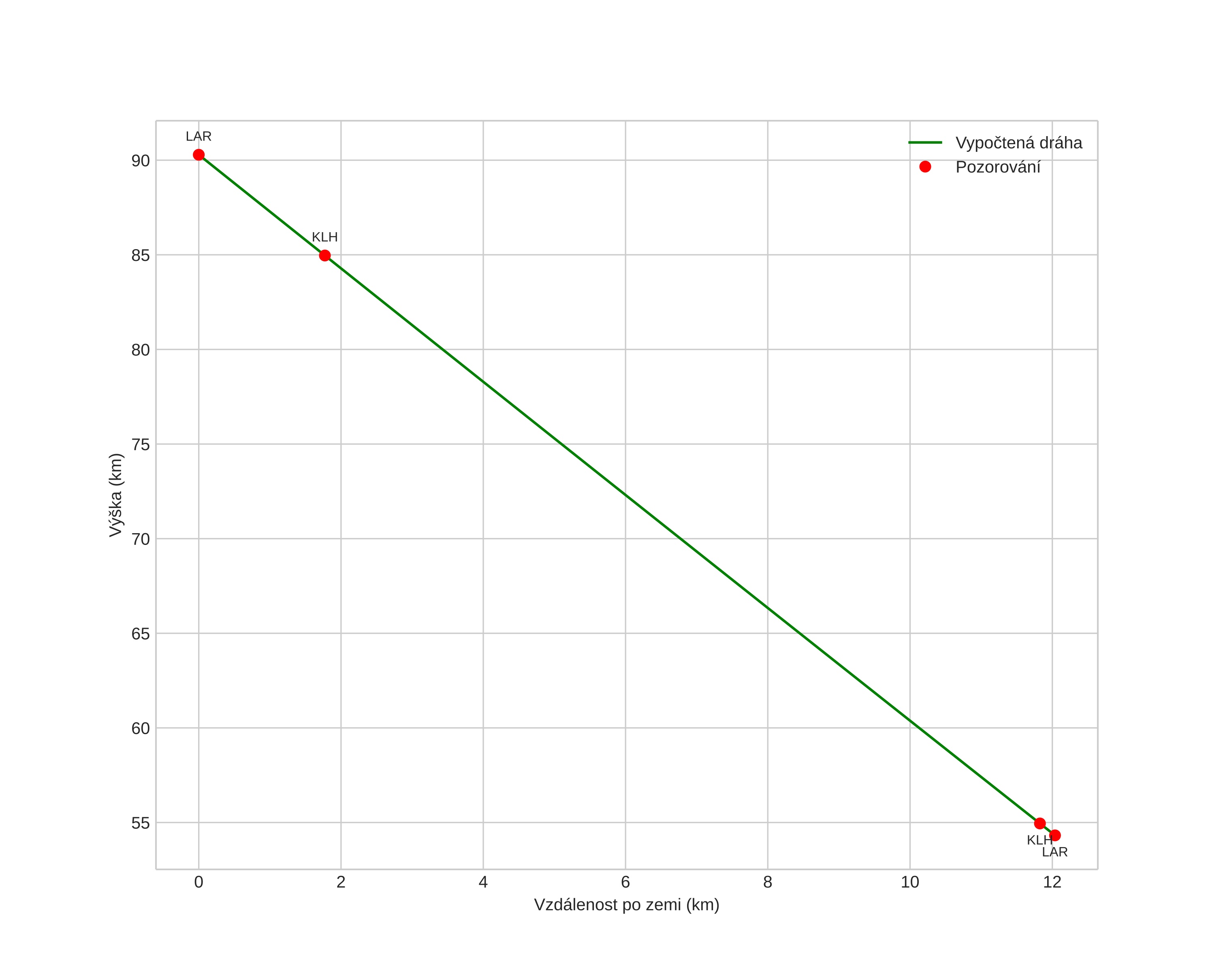
height profile
Atmosférická dráha meteoru:
Počáteční výška: 93,7 km
Konečná výška: 54,9 km
Počáteční poloha: 57,657N 11,768E
Konečná poloha: 57,613N 11,564E
Směr: 247,9°
Sklon: 71,3°
VstupnĂ­ rychlost: 30,6 km/s
Rektascenze radiantu: 17:30 (262,6°)
Deklinace radiantu: 59,9°
MeteorickĂ˝ roj: sporadickĂ˝
Elementy dráhy meteoroidu:
Vzdálenost v periheliu: 0,987 AU
Excentricita: 0,670
Sklon dráhy: 46,8°
Délka vzestupného uzlu: 324,4°
Argument perihelia: 177,4°
Střední anomálie: 0,4°
Epocha: 2021 FEB 13 04:43:44
orbit plot

NeinteraktivnĂ­ graf | InteraktivnĂ­ graf

position vs time
speed and acceleration