🇳🇴 🇬🇧 🇩🇪 🇨🇿 🇫🇮

Meteor, poloha: Aurlandsvangen 2021-02-13 23:31:14 UTC

Soubor KML  |  InteraktivnĂ­ mapa

Mapa zobrazuje dráhy meteoru. Světlejší čáry ukazují směry od pozorovacích stanic při objevení se meteoru a tmavší čáry, kde byl naposledy viděn. Modrá šipka značí viditelnou dráhu meteoru.

static map
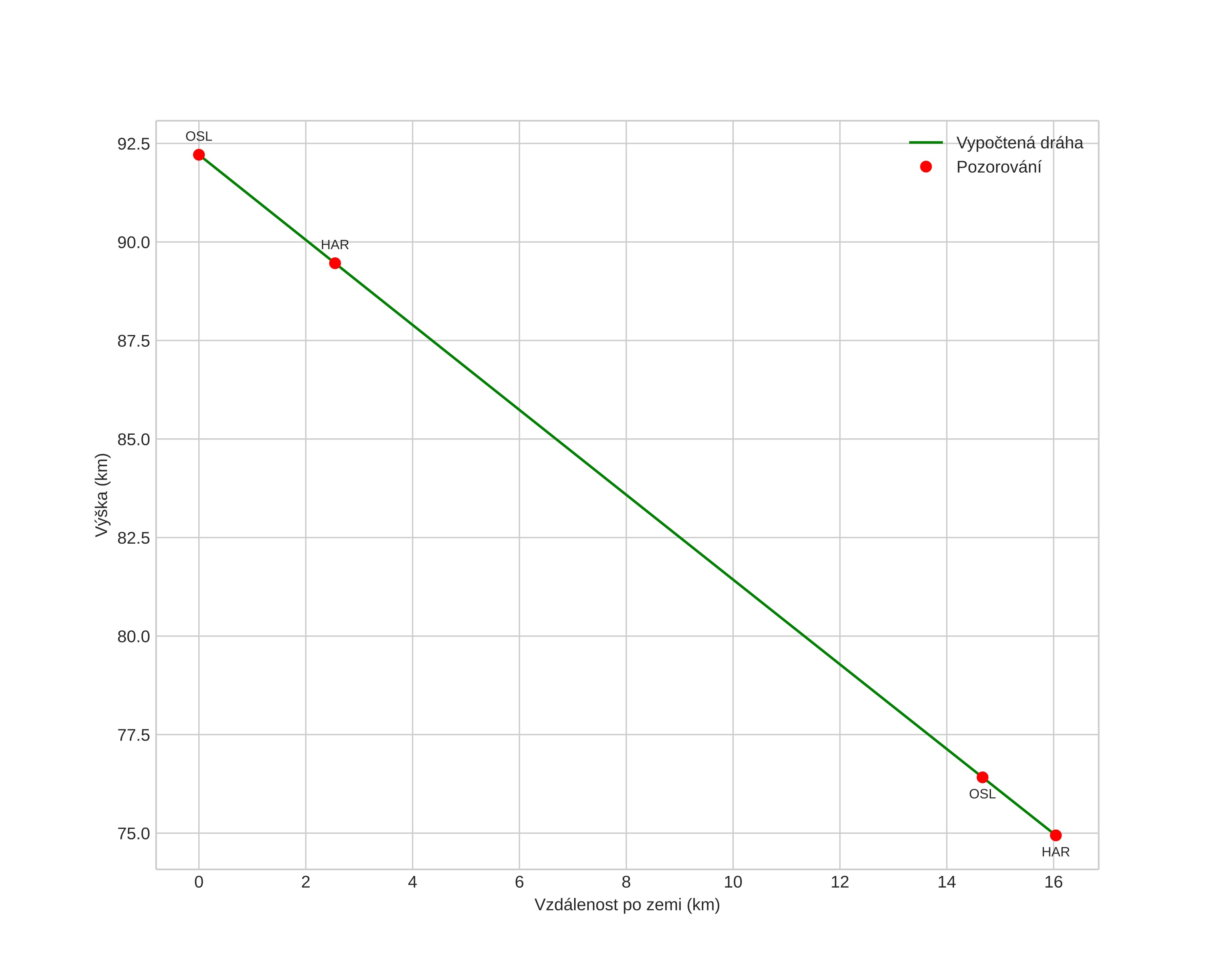
height profile
Atmosférická dráha meteoru:
Počáteční výška: 92,3 km
Konečná výška: 75,7 km
Počáteční poloha: 60,445N 7,541E
Konečná poloha: 60,574N 7,585E
Směr: 9,4°
Sklon: 48,7°
VstupnĂ­ rychlost: 24,7 km/s
Rektascenze radiantu: 09:07 (136,8°)
Deklinace radiantu: 17,0°
MeteorickĂ˝ roj: sporadickĂ˝
Elementy dráhy meteoroidu:
Vzdálenost v periheliu: 0,692 AU
Excentricita: 0,875
Sklon dráhy: 0,3°
Délka vzestupného uzlu: 324,9°
Argument perihelia: 249,2°
Střední anomálie: 357,1°
Epocha: 2021 FEB 13 23:31:14
orbit plot

NeinteraktivnĂ­ graf | InteraktivnĂ­ graf

position vs time
speed and acceleration