🇳🇴 🇬🇧 🇩🇪 🇨🇿 🇫🇮

Meteor, poloha: Tingvoll 2021-02-14 03:56:34 UTC

Soubor KML  |  InteraktivnĂ­ mapa

Mapa zobrazuje dráhy meteoru. Světlejší čáry ukazují směry od pozorovacích stanic při objevení se meteoru a tmavší čáry, kde byl naposledy viděn. Modrá šipka značí viditelnou dráhu meteoru.

static map
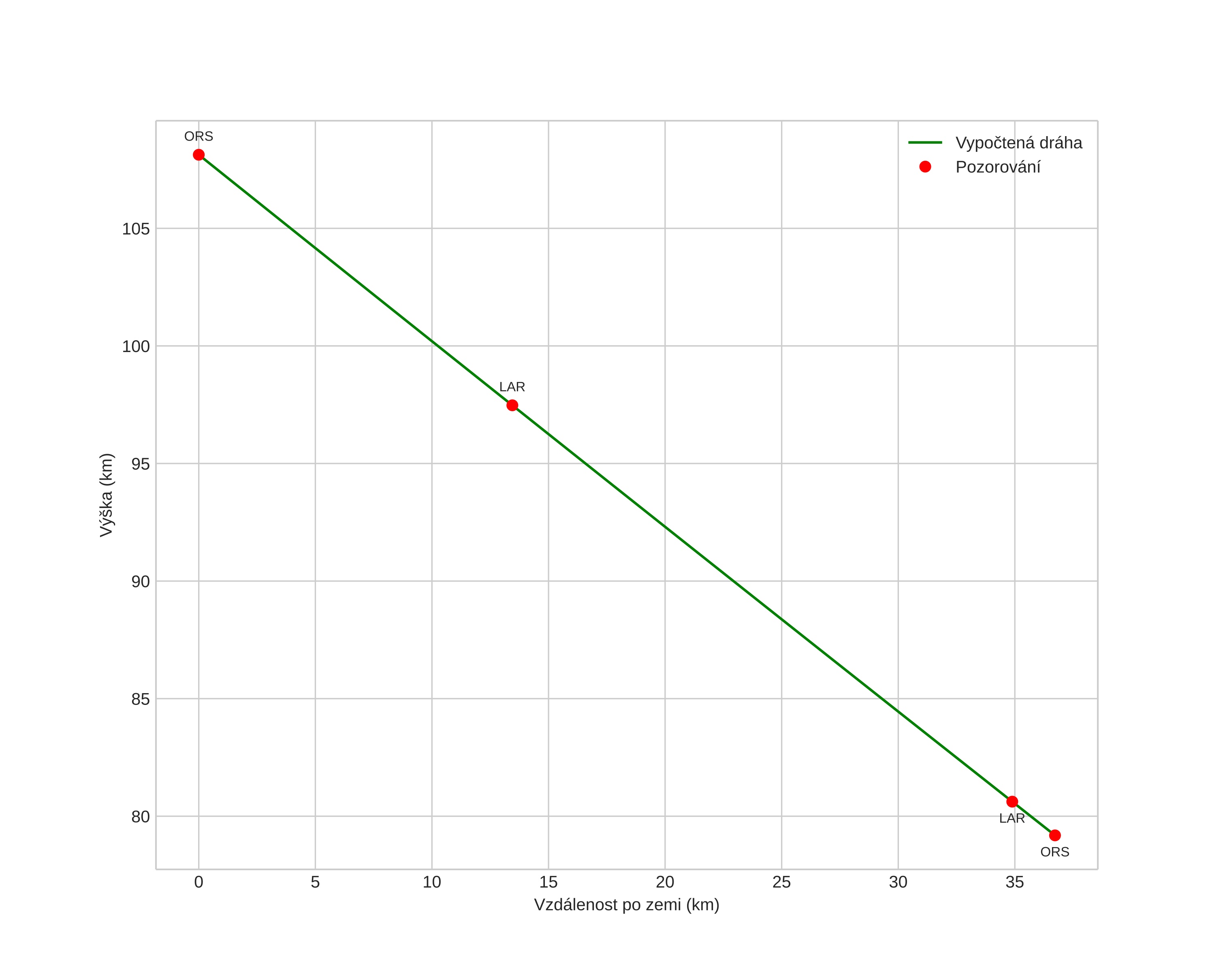
height profile
Atmosférická dráha meteoru:
Počáteční výška: 117,3 km
Konečná výška: 79,1 km
Počáteční poloha: 62,563N 8,733E
Konečná poloha: 62,970N 8,416E
Směr: 340,5°
Sklon: 38,5°
VstupnĂ­ rychlost: 66,1 km/s
Rektascenze radiantu: 15:09 (227,3°)
Deklinace radiantu: 11,9°
MeteorickĂ˝ roj: sporadickĂ˝
Elementy dráhy meteoroidu:
Vzdálenost v periheliu: 0,881 AU
Excentricita: 0,993
Sklon dráhy: 129,3°
Délka vzestupného uzlu: 325,4°
Argument perihelia: 218,4°
Střední anomálie: 360,0°
Epocha: 2021 FEB 14 03:56:34
orbit plot

NeinteraktivnĂ­ graf | InteraktivnĂ­ graf

position vs time
speed and acceleration