🇳🇴 🇬🇧 🇩🇪 🇨🇿 🇫🇮

Meteor, poloha: Kirkenær 2021-02-14 05:40:45 UTC

Soubor KML  |  InteraktivnĂ­ mapa

Mapa zobrazuje dráhy meteoru. Světlejší čáry ukazují směry od pozorovacích stanic při objevení se meteoru a tmavší čáry, kde byl naposledy viděn. Modrá šipka značí viditelnou dráhu meteoru.

static map
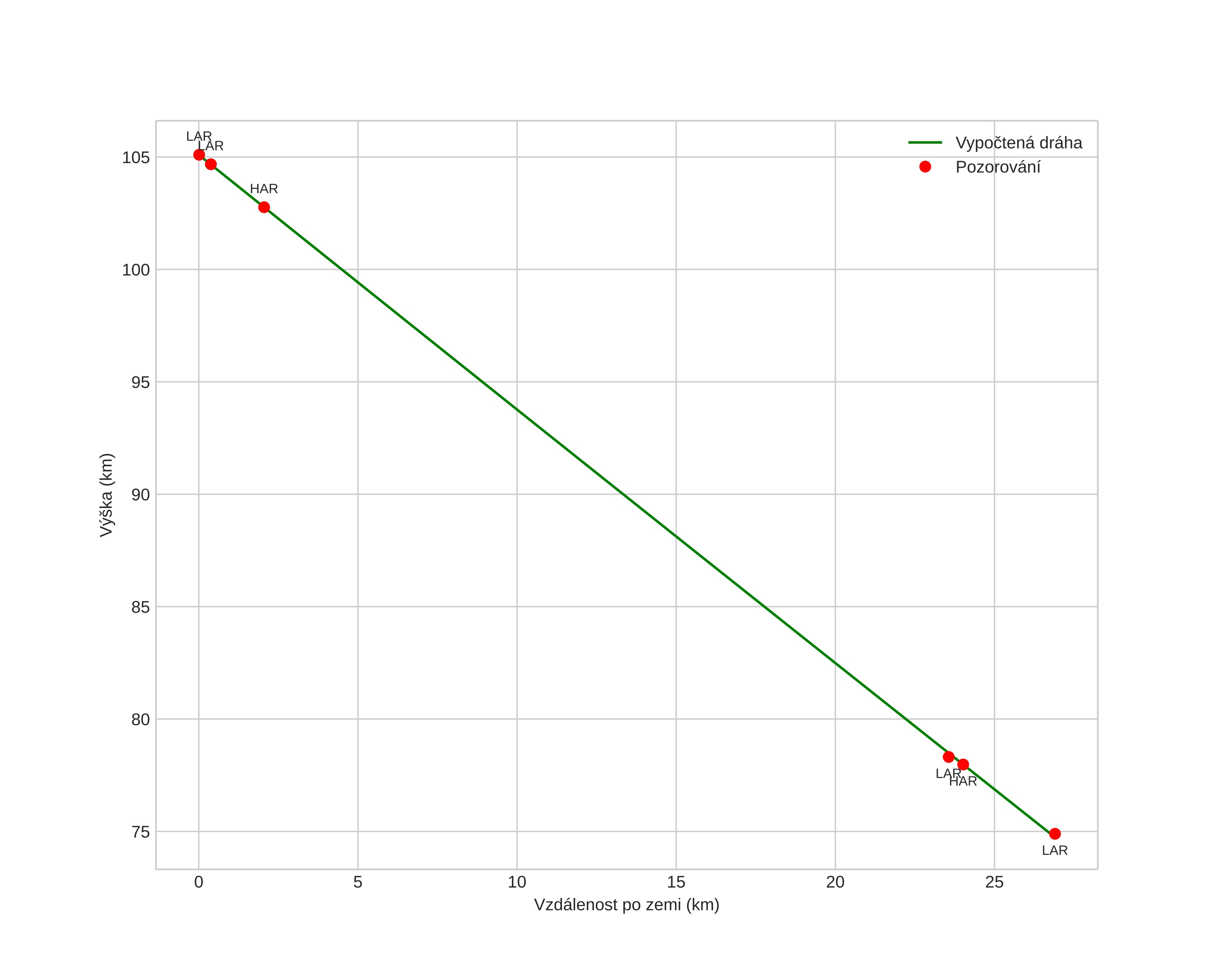
height profile
Atmosférická dráha meteoru:
Počáteční výška: 106,4 km
Konečná výška: 74,4 km
Počáteční poloha: 60,320N 11,445E
Konečná poloha: 60,452N 11,895E
Směr: 59,1°
Sklon: 48,1°
VstupnĂ­ rychlost: 48,9 km/s
Rektascenze radiantu: 13:18 (199,6°)
Deklinace radiantu: 27,9°
MeteorickĂ˝ roj: sporadickĂ˝
Elementy dráhy meteoroidu:
Vzdálenost v periheliu: 0,403 AU
Excentricita: 0,915
Sklon dráhy: 80,8°
Délka vzestupného uzlu: 325,5°
Argument perihelia: 283,9°
Střední anomálie: 356,2°
Epocha: 2021 FEB 14 05:40:45
orbit plot

NeinteraktivnĂ­ graf | InteraktivnĂ­ graf

position vs time
speed and acceleration