🇳🇴 🇬🇧 🇩🇪 🇨🇿 🇫🇮

Meteor über Moen 2021-02-17 01:03:15 UTC

KML-Datei  |  Interaktive Karte

Die Karte zeigt die Peilungen für den Meteor. Die helleren Linien zeigen die Richtungen von den Beobachtungsorten beim Erscheinen des Meteors, und die dunkleren Linien, wo er zuletzt gesehen wurde. Der blaue Pfeil zeigt die sichtbare Bahn des Meteors.

static map
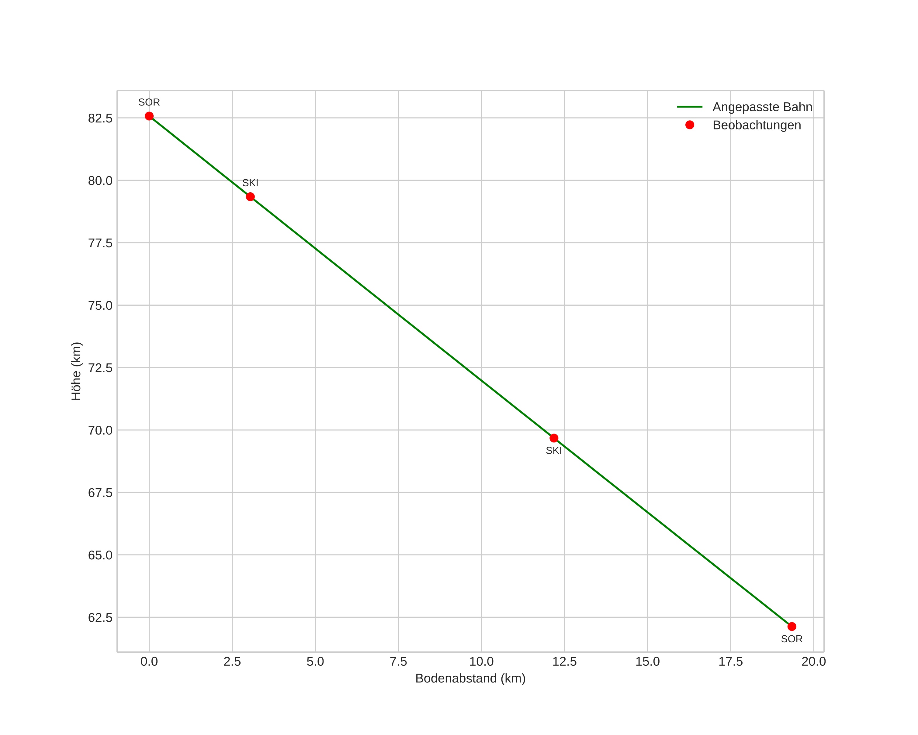
height profile
Atmosphärische Bahn des Meteors:
Anfangshöhe: 83,0 km
Endhöhe: 63,9 km
Startposition: 69,281N 18,772E
Endposition: 69,119N 18,730E
Richtung: 185,3°
Neigungswinkel: 46,7°
Eintrittsgeschwindigkeit: 19,2 km/s
Rektaszension des Radianten: 23:36 (354,0°)
Deklination des Radianten: 62,6°
Meteorstrom: sporadisch
Bahnelemente des Meteoroiden:
Periheldistanz: 0,978 AU
Exzentrizität: 0,816
Inklination: 18,9°
Länge des aufsteigenden Knotens: 328,3°
Argument des Perihels: 167,7°
Mittlere Anomalie: 0,7°
Epoche: 2021 FEB 17 01:03:15
orbit plot

Nicht-interaktives Diagramm | Interaktives Diagramm

position vs time
speed and acceleration