🇳🇴 🇬🇧 🇩🇪 🇨🇿 🇫🇮

Meteor, poloha: Olderdalen 2021-02-17 02:20:59 UTC

Soubor KML  |  InteraktivnĂ­ mapa

Mapa zobrazuje dráhy meteoru. Světlejší čáry ukazují směry od pozorovacích stanic při objevení se meteoru a tmavší čáry, kde byl naposledy viděn. Modrá šipka značí viditelnou dráhu meteoru.

static map
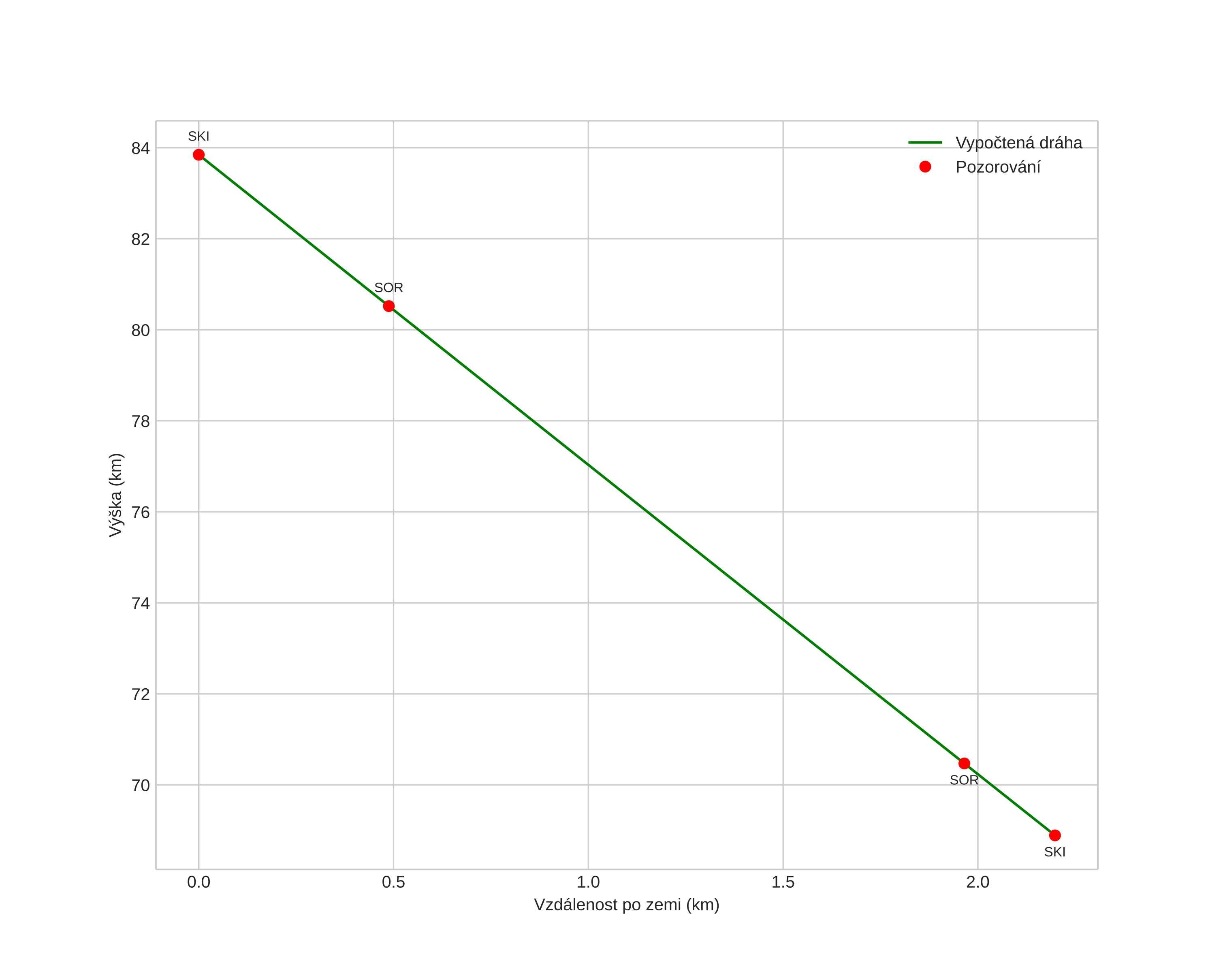
height profile
Atmosférická dráha meteoru:
Počáteční výška: 84,3 km
Konečná výška: 68,6 km
Počáteční poloha: 68,936N 20,765E
Konečná poloha: 68,920N 20,774E
Směr: 168,3°
Sklon: 83,2°
VstupnĂ­ rychlost: 23,2 km/s
Rektascenze radiantu: 13:01 (195,4°)
Deklinace radiantu: 75,8°
MeteorickĂ˝ roj: sporadickĂ˝
Elementy dráhy meteoroidu:
Vzdálenost v periheliu: 0,946 AU
Excentricita: 0,694
Sklon dráhy: 29,3°
Délka vzestupného uzlu: 328,4°
Argument perihelia: 206,3°
Střední anomálie: 356,5°
Epocha: 2021 FEB 17 02:20:59
orbit plot

NeinteraktivnĂ­ graf | InteraktivnĂ­ graf

position vs time
speed and acceleration