🇳🇴 🇬🇧 🇩🇪 🇨🇿 🇫🇮

Meteor, poloha: Hamnvik 2021-02-17 06:54:57 UTC

Soubor KML  |  InteraktivnĂ­ mapa

Mapa zobrazuje dráhy meteoru. Světlejší čáry ukazují směry od pozorovacích stanic při objevení se meteoru a tmavší čáry, kde byl naposledy viděn. Modrá šipka značí viditelnou dráhu meteoru.

static map
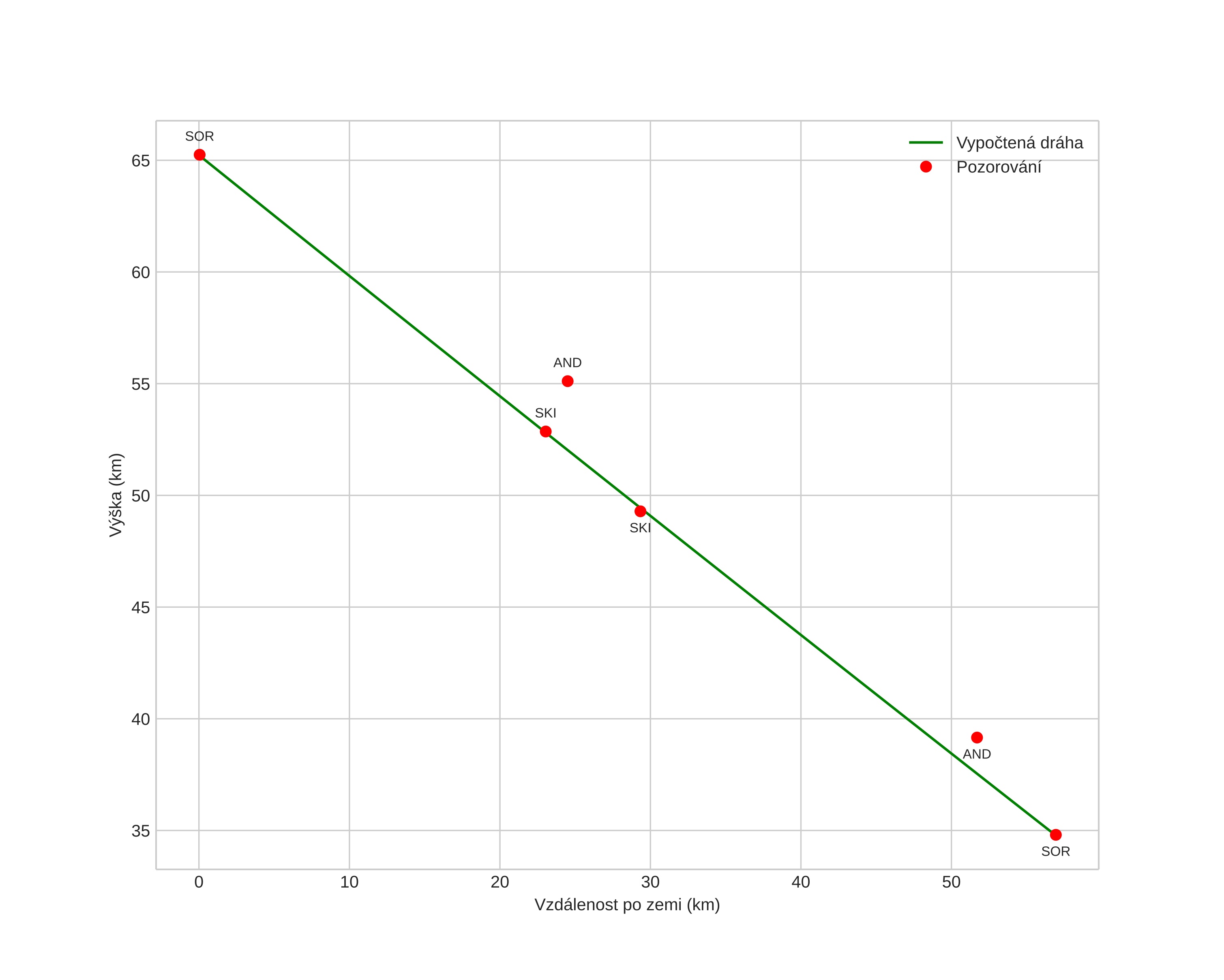
height profile
Atmosférická dráha meteoru:
Počáteční výška: 56,3 km
Konečná výška: 37,9 km
Počáteční poloha: 69,051N 17,395E
Konečná poloha: 68,758N 17,120E
Směr: 198,8°
Sklon: 28,2°
VstupnĂ­ rychlost: 13,7 km/s
Rektascenze radiantu: 04:30 (67,6°)
Deklinace radiantu: 29,9°
MeteorickĂ˝ roj: sporadickĂ˝
Elementy dráhy meteoroidu:
Vzdálenost v periheliu: 0,987 AU
Excentricita: 0,594
Sklon dráhy: 1,7°
Délka vzestupného uzlu: 328,5°
Argument perihelia: 185,2°
Střední anomálie: 358,9°
Epocha: 2021 FEB 17 06:54:57
orbit plot

NeinteraktivnĂ­ graf | InteraktivnĂ­ graf

position vs time
speed and acceleration