🇳🇴 🇬🇧 🇩🇪 🇨🇿 🇫🇮

Meteor, poloha: Malmberget 2021-02-18 02:23:49 UTC

Soubor KML  |  InteraktivnĂ­ mapa

Mapa zobrazuje dráhy meteoru. Světlejší čáry ukazují směry od pozorovacích stanic při objevení se meteoru a tmavší čáry, kde byl naposledy viděn. Modrá šipka značí viditelnou dráhu meteoru.

static map
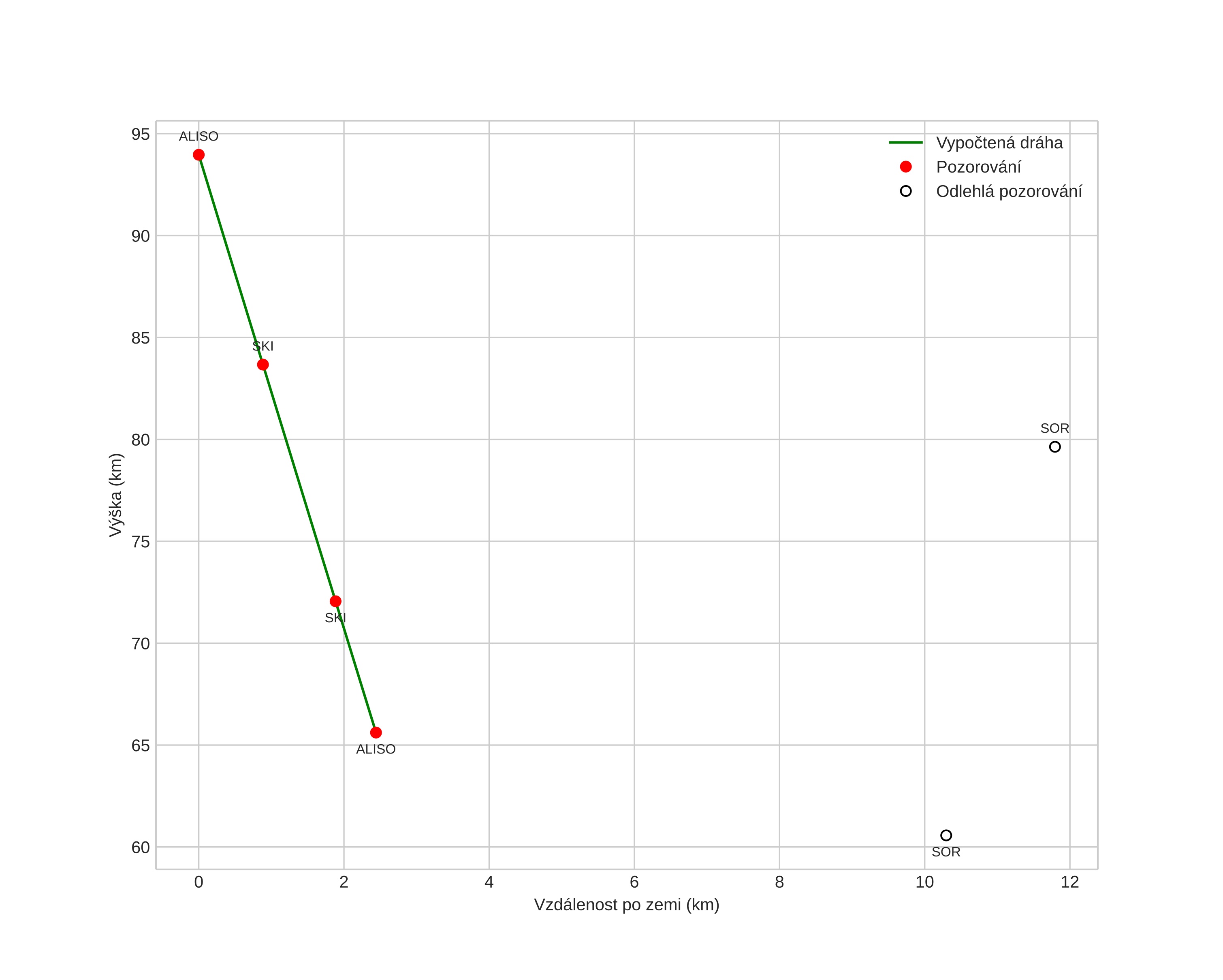
height profile
Atmosférická dráha meteoru:
Počáteční výška: 93,9 km
Konečná výška: 65,7 km
Počáteční poloha: 67,847N 22,002E
Konečná poloha: 67,858N 21,955E
Směr: 302,5°
Sklon: 85,3°
VstupnĂ­ rychlost: 29,0 km/s
Rektascenze radiantu: 14:19 (214,9°)
Deklinace radiantu: 64,9°
MeteorickĂ˝ roj: sporadickĂ˝
Elementy dráhy meteoroidu:
Vzdálenost v periheliu: 0,918 AU
Excentricita: 0,721
Sklon dráhy: 41,1°
Délka vzestupného uzlu: 329,4°
Argument perihelia: 214,0°
Střední anomálie: 356,0°
Epocha: 2021 FEB 18 02:23:49
orbit plot

NeinteraktivnĂ­ graf | InteraktivnĂ­ graf

position vs time
speed and acceleration