🇳🇴 🇬🇧 🇩🇪 🇨🇿 🇫🇮

Meteor, poloha: Hatteng 2021-02-22 19:32:06 UTC

Soubor KML  |  InteraktivnĂ­ mapa

Mapa zobrazuje dráhy meteoru. Světlejší čáry ukazují směry od pozorovacích stanic při objevení se meteoru a tmavší čáry, kde byl naposledy viděn. Modrá šipka značí viditelnou dráhu meteoru.

static map
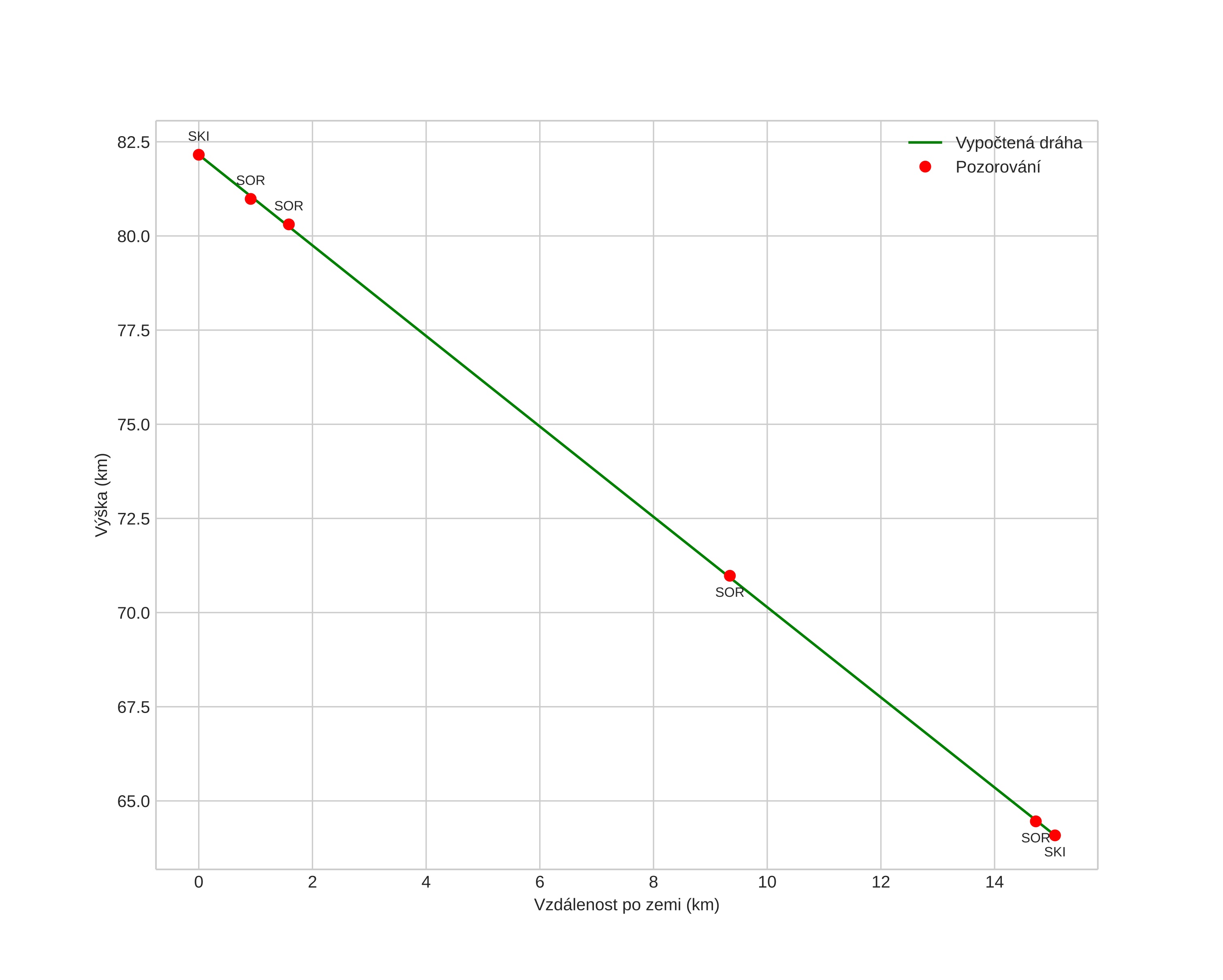
height profile
Atmosférická dráha meteoru:
Počáteční výška: 82,4 km
Konečná výška: 62,8 km
Počáteční poloha: 69,212N 19,679E
Konečná poloha: 69,075N 19,836E
Směr: 157,6°
Sklon: 50,1°
VstupnĂ­ rychlost: 19,0 km/s
Rektascenze radiantu: 21:35 (323,8°)
Deklinace radiantu: 63,6°
MeteorickĂ˝ roj: sporadickĂ˝
Elementy dráhy meteoroidu:
Vzdálenost v periheliu: 0,968 AU
Excentricita: 0,561
Sklon dráhy: 22,8°
Délka vzestupného uzlu: 334,1°
Argument perihelia: 160,3°
Střední anomálie: 4,7°
Epocha: 2021 FEB 22 19:32:06
orbit plot

NeinteraktivnĂ­ graf | InteraktivnĂ­ graf

position vs time
speed and acceleration

Sorreisa (SOR) cam4

fireball
gnomonic
Videa
• Gnomonická
• Gnomonická se souřadnicemi
• Původní
• Původní se souřadnicemi
Obrázky
• Gnomonická
• Gnomonická se souřadnicemi
• Původní
• Původní se souřadnicemi
Textové soubory
• Detekce
• Pozorování
• Chybová hlášení
• Protokol
Jasnost