🇳🇴 🇬🇧 🇩🇪 🇨🇿 🇫🇮

Meteor, poloha: Sandane 2021-02-25 22:05:25 UTC

Soubor KML  |  InteraktivnĂ­ mapa

Mapa zobrazuje dráhy meteoru. Světlejší čáry ukazují směry od pozorovacích stanic při objevení se meteoru a tmavší čáry, kde byl naposledy viděn. Modrá šipka značí viditelnou dráhu meteoru.

static map
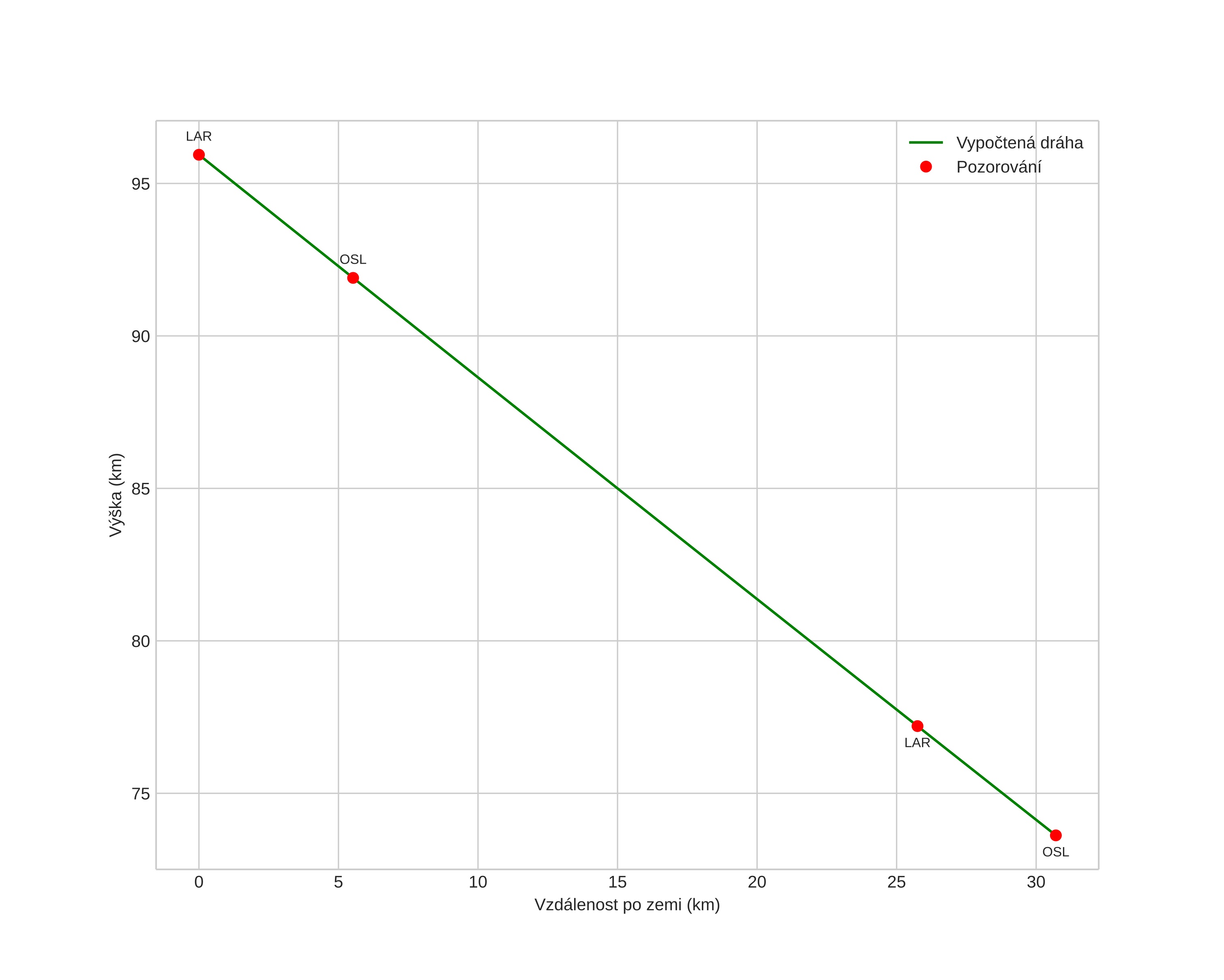
height profile
Atmosférická dráha meteoru:
Počáteční výška: 93,7 km
Konečná výška: 72,8 km
Počáteční poloha: 61,748N 6,280E
Konečná poloha: 61,497N 6,166E
Směr: 192,2°
Sklon: 36,2°
VstupnĂ­ rychlost: 29,6 km/s
Rektascenze radiantu: 19:31 (293,0°)
Deklinace radiantu: 61,3°
MeteorickĂ˝ roj: sporadickĂ˝
Elementy dráhy meteoroidu:
Vzdálenost v periheliu: 0,970 AU
Excentricita: 0,888
Sklon dráhy: 41,2°
Délka vzestupného uzlu: 337,2°
Argument perihelia: 163,0°
Střední anomálie: 0,5°
Epocha: 2021 FEB 25 22:05:25
orbit plot

NeinteraktivnĂ­ graf | InteraktivnĂ­ graf

position vs time
speed and acceleration