🇳🇴 🇬🇧 🇩🇪 🇨🇿 🇫🇮

Meteor, poloha: Langesund 2021-02-27 22:03:29 UTC

Soubor KML  |  InteraktivnĂ­ mapa

Mapa zobrazuje dráhy meteoru. Světlejší čáry ukazují směry od pozorovacích stanic při objevení se meteoru a tmavší čáry, kde byl naposledy viděn. Modrá šipka značí viditelnou dráhu meteoru.

static map
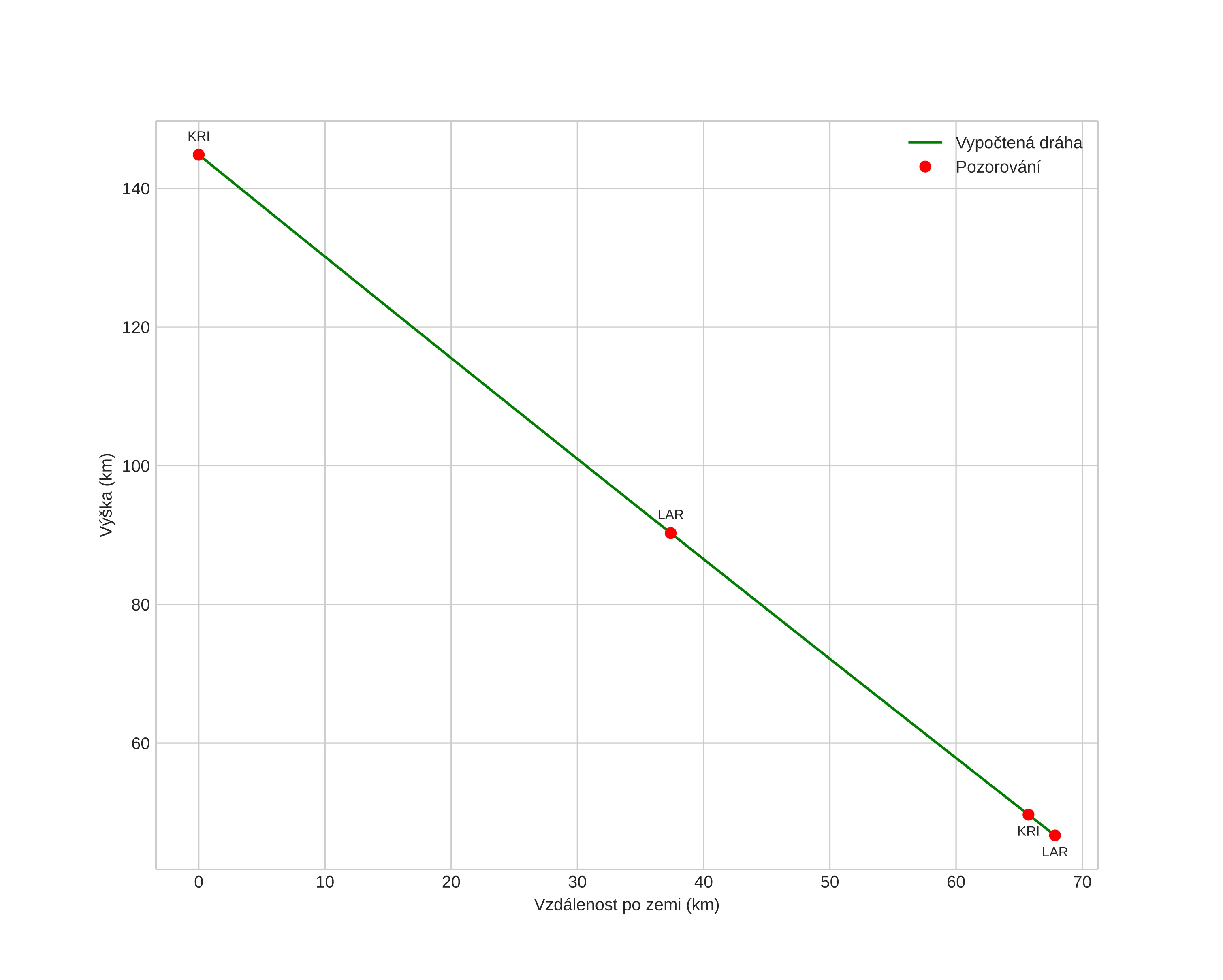
height profile
Atmosférická dráha meteoru:
Počáteční výška: 90,3 km
Konečná výška: 46,1 km
Počáteční poloha: 58,397N 9,689E
Konečná poloha: 58,673N 9,688E
Směr: 359,9°
Sklon: 55,2°
VstupnĂ­ rychlost: 17,3 km/s
Rektascenze radiantu: 09:08 (137,2°)
Deklinace radiantu: 18,9°
MeteorickĂ˝ roj: sporadickĂ˝
Elementy dráhy meteoroidu:
Vzdálenost v periheliu: 0,867 AU
Excentricita: 0,627
Sklon dráhy: 0,9°
Délka vzestupného uzlu: 339,2°
Argument perihelia: 227,6°
Střední anomálie: 350,7°
Epocha: 2021 FEB 27 22:03:29
orbit plot

NeinteraktivnĂ­ graf | InteraktivnĂ­ graf

position vs time
speed and acceleration