🇳🇴 🇬🇧 🇩🇪 🇨🇿 🇫🇮

Meteor, poloha: Vargön 2021-02-28 21:02:23 UTC

Soubor KML  |  InteraktivnĂ­ mapa

Mapa zobrazuje dráhy meteoru. Světlejší čáry ukazují směry od pozorovacích stanic při objevení se meteoru a tmavší čáry, kde byl naposledy viděn. Modrá šipka značí viditelnou dráhu meteoru.

static map
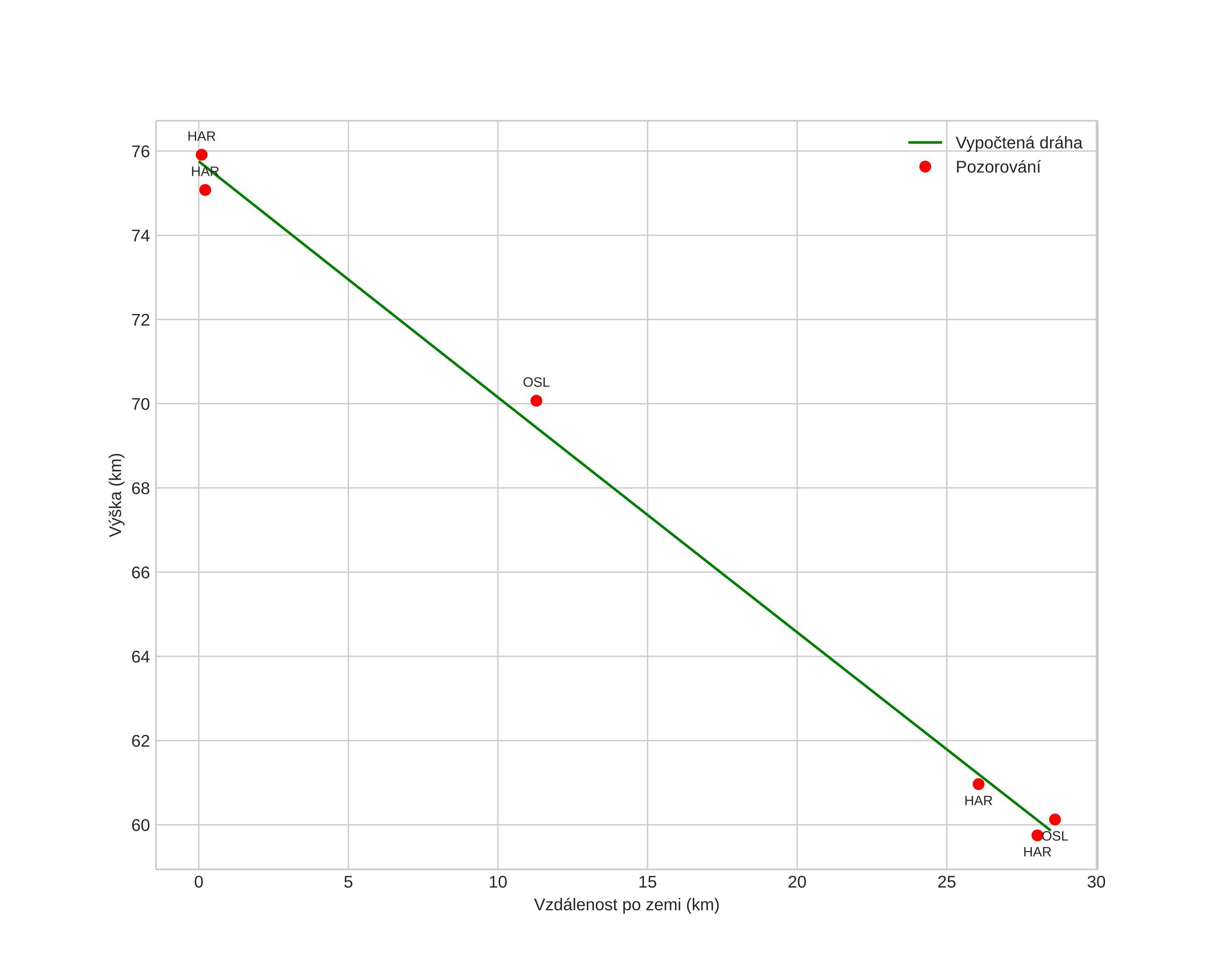
height profile
Atmosférická dráha meteoru:
Počáteční výška: 82,3 km
Konečná výška: 67,2 km
Počáteční poloha: 58,480N 12,863E
Konečná poloha: 58,289N 12,427E
Směr: 230,2°
Sklon: 24,5°
VstupnĂ­ rychlost: 32,0 km/s
Rektascenze radiantu: 16:02 (240,7°)
Deklinace radiantu: 39,4°
MeteorickĂ˝ roj: sporadickĂ˝
Elementy dráhy meteoroidu:
Vzdálenost v periheliu: 0,817 AU
Excentricita: 0,218
Sklon dráhy: 57,9°
Délka vzestupného uzlu: 340,2°
Argument perihelia: 268,6°
Střední anomálie: 296,1°
Epocha: 2021 FEB 28 21:02:23
orbit plot

NeinteraktivnĂ­ graf | InteraktivnĂ­ graf

position vs time
speed and acceleration