🇳🇴 🇬🇧 🇩🇪 🇨🇿 🇫🇮

Meteor, poloha: Tretten 2021-03-01 01:24:27 UTC

Soubor KML  |  InteraktivnĂ­ mapa

Mapa zobrazuje dráhy meteoru. Světlejší čáry ukazují směry od pozorovacích stanic při objevení se meteoru a tmavší čáry, kde byl naposledy viděn. Modrá šipka značí viditelnou dráhu meteoru.

static map
height profile
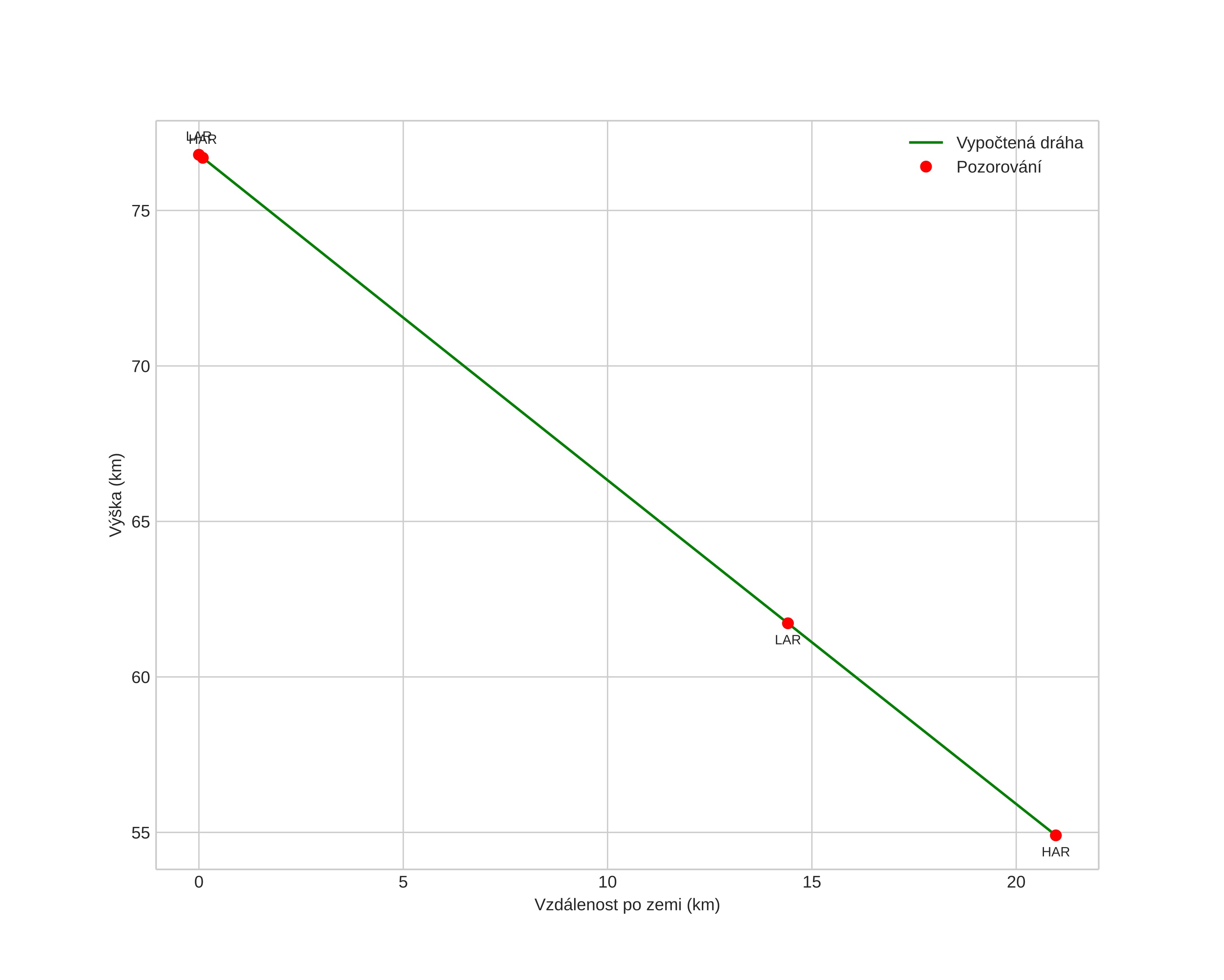
Atmosférická dráha meteoru:
Počáteční výška: 83,8 km
Konečná výška: 52,4 km
Počáteční poloha: 61,137N 9,836E
Konečná poloha: 61,337N 10,347E
Směr: 50,7°
Sklon: 41,7°
VstupnĂ­ rychlost: 19,7 km/s
Rektascenze radiantu: 09:55 (149,0°)
Deklinace radiantu: 16,2°
MeteorickĂ˝ roj: sporadickĂ˝
Elementy dráhy meteoroidu:
Vzdálenost v periheliu: 0,780 AU
Excentricita: 0,666
Sklon dráhy: 1,6°
Délka vzestupného uzlu: 340,4°
Argument perihelia: 242,2°
Střední anomálie: 349,0°
Epocha: 2021 MAR 01 01:24:27
orbit plot

NeinteraktivnĂ­ graf | InteraktivnĂ­ graf

position vs time
speed and acceleration