🇳🇴 🇬🇧 🇩🇪 🇨🇿 🇫🇮

Meteor, poloha: Tingvatn 2021-03-02 04:43:29 UTC

Soubor KML  |  InteraktivnĂ­ mapa

Mapa zobrazuje dráhy meteoru. Světlejší čáry ukazují směry od pozorovacích stanic při objevení se meteoru a tmavší čáry, kde byl naposledy viděn. Modrá šipka značí viditelnou dráhu meteoru.

static map
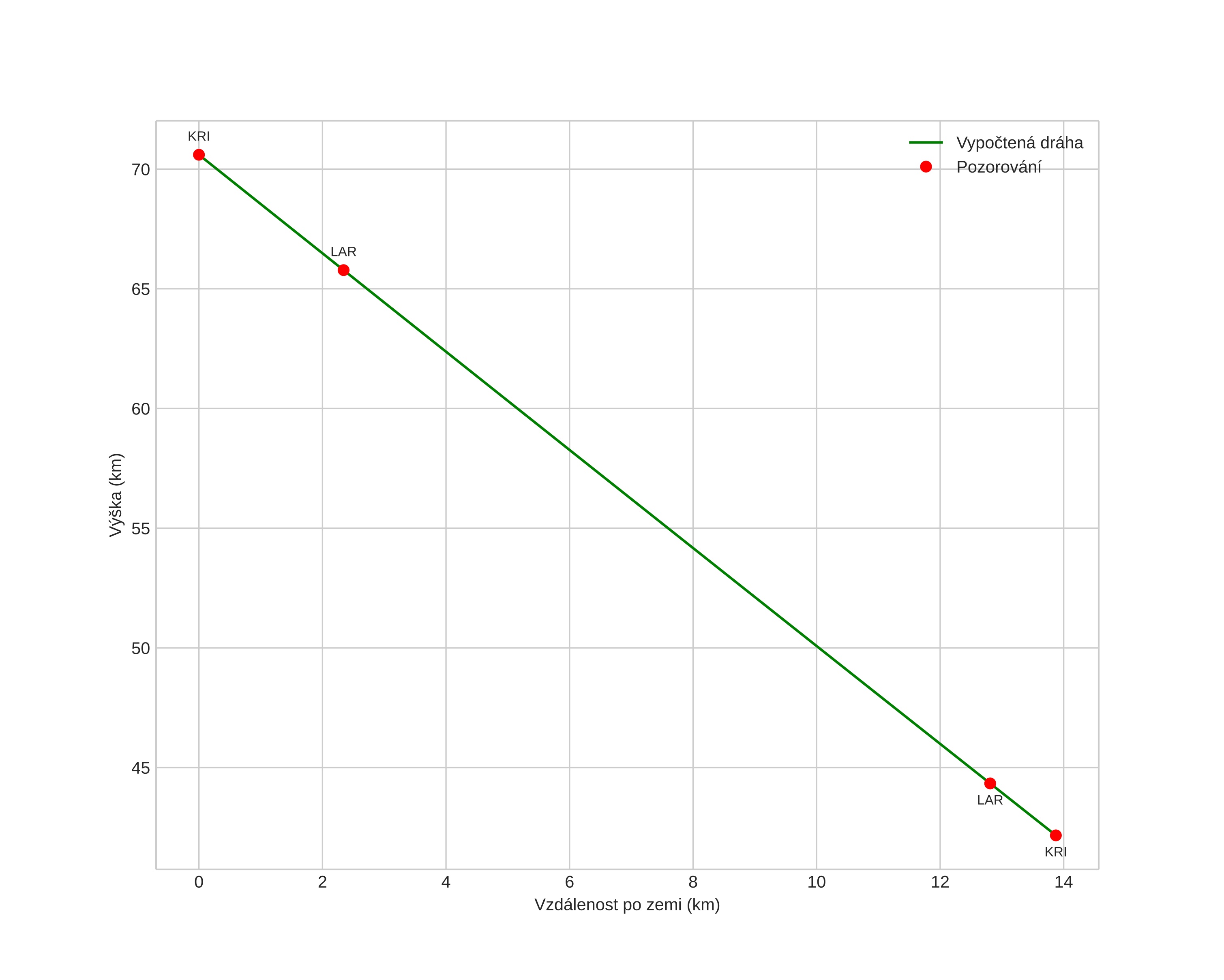
height profile
Atmosférická dráha meteoru:
Počáteční výška: 68,9 km
Konečná výška: 42,2 km
Počáteční poloha: 58,417N 7,035E
Konečná poloha: 58,313N 7,131E
Směr: 154,0°
Sklon: 64,4°
VstupnĂ­ rychlost: 11,9 km/s
Rektascenze radiantu: 09:11 (137,8°)
Deklinace radiantu: 72,7°
MeteorickĂ˝ roj: sporadickĂ˝
Elementy dráhy meteoroidu:
Vzdálenost v periheliu: 0,986 AU
Excentricita: 0,172
Sklon dráhy: 6,3°
Délka vzestupného uzlu: 341,5°
Argument perihelia: 195,8°
Střední anomálie: 349,0°
Epocha: 2021 MAR 02 04:43:29
orbit plot

NeinteraktivnĂ­ graf | InteraktivnĂ­ graf

position vs time
speed and acceleration