🇳🇴 🇬🇧 🇩🇪 🇨🇿 🇫🇮

Meteor, poloha: Bygland 2021-03-02 18:50:09 UTC

Soubor KML  |  InteraktivnĂ­ mapa

Mapa zobrazuje dráhy meteoru. Světlejší čáry ukazují směry od pozorovacích stanic při objevení se meteoru a tmavší čáry, kde byl naposledy viděn. Modrá šipka značí viditelnou dráhu meteoru.

static map
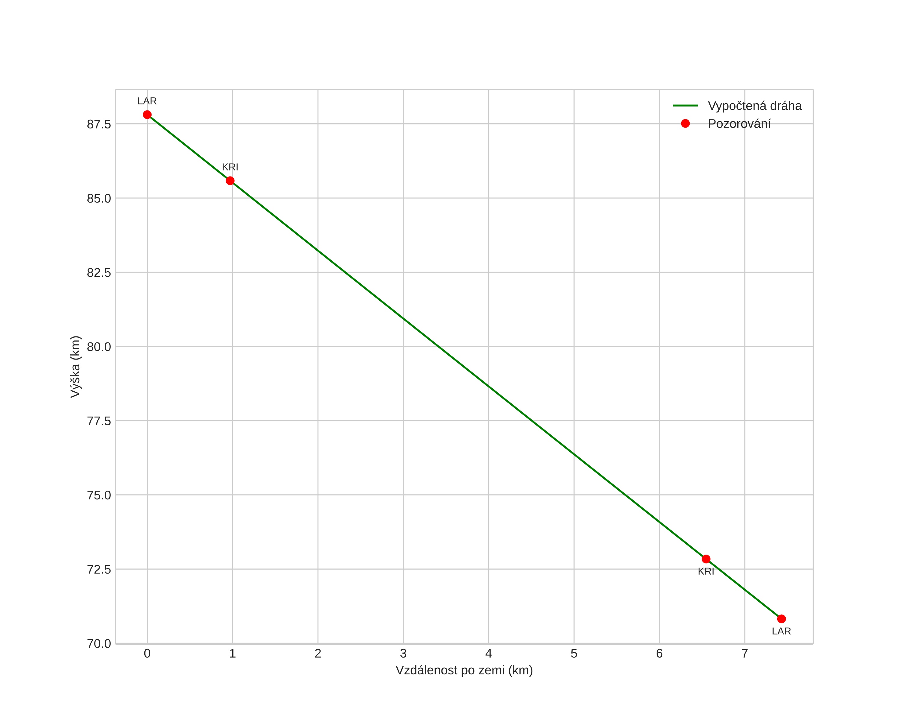
height profile
Atmosférická dráha meteoru:
Počáteční výška: 87,1 km
Konečná výška: 71,2 km
Počáteční poloha: 58,859N 7,566E
Konečná poloha: 58,919N 7,532E
Směr: 343,7°
Sklon: 66,4°
VstupnĂ­ rychlost: 14,0 km/s
Rektascenze radiantu: 06:32 (98,2°)
Deklinace radiantu: 30,1°
MeteorickĂ˝ roj: sporadickĂ˝
Elementy dráhy meteoroidu:
Vzdálenost v periheliu: 0,982 AU
Excentricita: 0,596
Sklon dráhy: 1,5°
Délka vzestupného uzlu: 342,1°
Argument perihelia: 192,7°
Střední anomálie: 357,4°
Epocha: 2021 MAR 02 18:50:09
orbit plot

NeinteraktivnĂ­ graf | InteraktivnĂ­ graf

position vs time
speed and acceleration