🇳🇴 🇬🇧 🇩🇪 🇨🇿 🇫🇮

Meteor, poloha: Tennevoll 2021-03-04 04:31:08 UTC

Soubor KML  |  InteraktivnĂ­ mapa

Mapa zobrazuje dráhy meteoru. Světlejší čáry ukazují směry od pozorovacích stanic při objevení se meteoru a tmavší čáry, kde byl naposledy viděn. Modrá šipka značí viditelnou dráhu meteoru.

static map
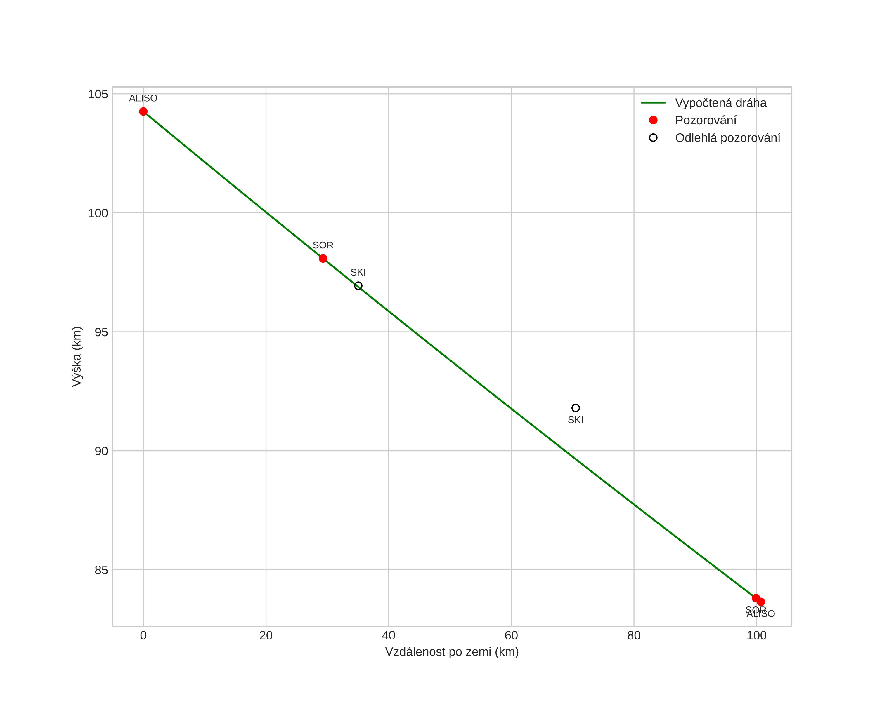
height profile
Atmosférická dráha meteoru:
Počáteční výška: 104,2 km
Konečná výška: 82,6 km
Počáteční poloha: 67,596N 16,295E
Konečná poloha: 68,238N 18,166E
Směr: 46,8°
Sklon: 11,5°
VstupnĂ­ rychlost: 45,8 km/s
Rektascenze radiantu: 13:18 (199,7°)
Deklinace radiantu: -5,3°
MeteorickĂ˝ roj: sporadickĂ˝
Elementy dráhy meteoroidu:
Vzdálenost v periheliu: 0,009 AU
Excentricita: 0,995
Sklon dráhy: 32,2°
Délka vzestupného uzlu: 343,5°
Argument perihelia: 350,7°
Střední anomálie: 346,3°
Epocha: 2021 MAR 04 04:31:08
orbit plot

NeinteraktivnĂ­ graf | InteraktivnĂ­ graf

position vs time
speed and acceleration