🇳🇴 🇬🇧 🇩🇪 🇨🇿 🇫🇮

Meteor, poloha: Ă…rdalstangen 2021-03-04 22:14:21 UTC

Soubor KML  |  InteraktivnĂ­ mapa

Mapa zobrazuje dráhy meteoru. Světlejší čáry ukazují směry od pozorovacích stanic při objevení se meteoru a tmavší čáry, kde byl naposledy viděn. Modrá šipka značí viditelnou dráhu meteoru.

static map
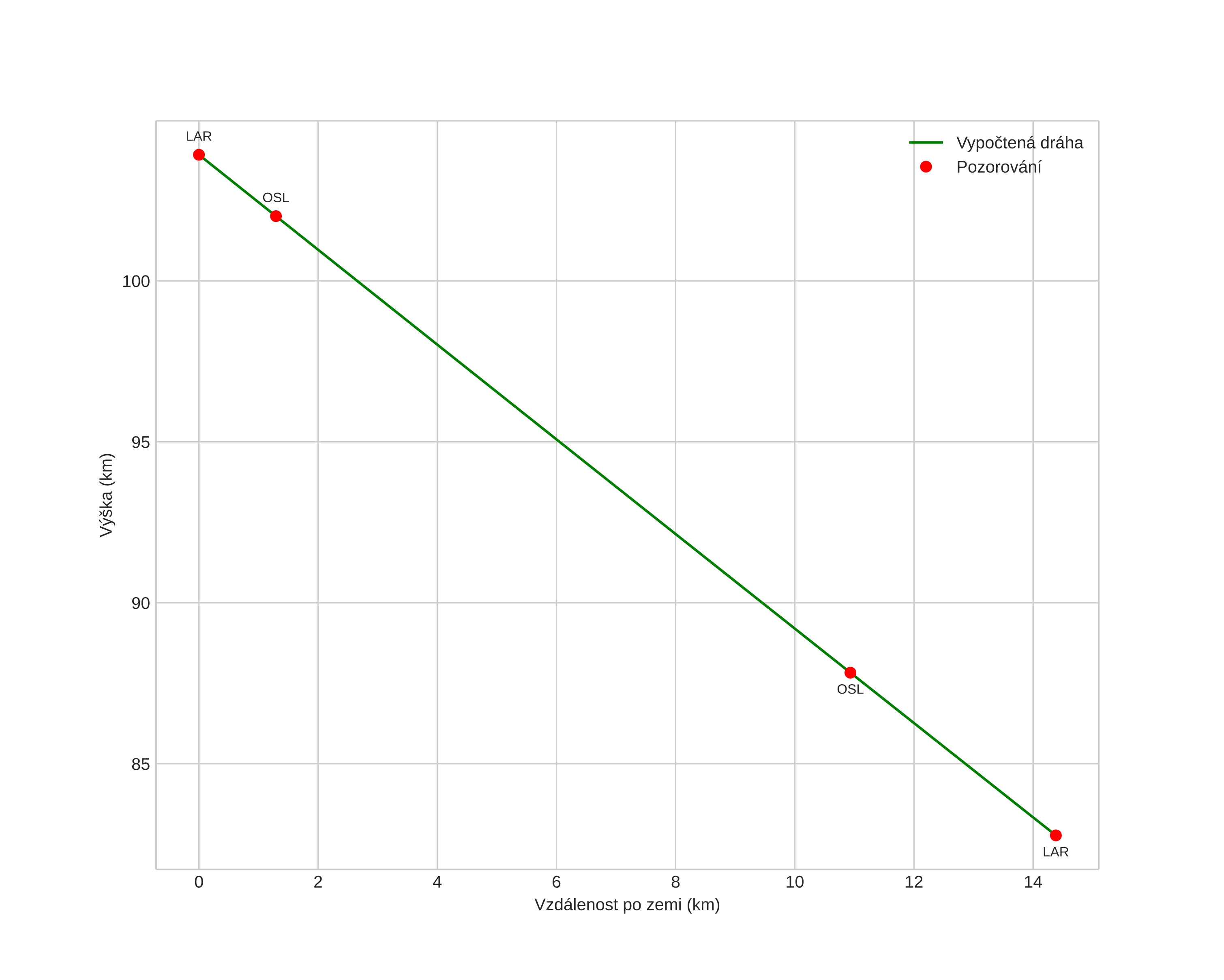
height profile
Atmosférická dráha meteoru:
Počáteční výška: 101,1 km
Konečná výška: 82,8 km
Počáteční poloha: 61,249N 7,853E
Konečná poloha: 61,208N 7,650E
Směr: 247,4°
Sklon: 57,2°
VstupnĂ­ rychlost: 34,8 km/s
Rektascenze radiantu: 14:04 (211,0°)
Deklinace radiantu: 56,6°
MeteorickĂ˝ roj: sporadickĂ˝
Elementy dráhy meteoroidu:
Vzdálenost v periheliu: 0,873 AU
Excentricita: 1,064
Sklon dráhy: 45,8°
Délka vzestupného uzlu: 344,3°
Argument perihelia: 219,8°
Střední anomálie: -0,5°
Epocha: 2021 MAR 04 22:14:21
orbit plot

NeinteraktivnĂ­ graf | InteraktivnĂ­ graf

position vs time
speed and acceleration