🇳🇴 🇬🇧 🇩🇪 🇨🇿 🇫🇮

Meteor Färilan yllä 2021-03-04 22:44:47 UTC

KML-tiedosto  |  Interaktiivinen kartta

Kartta näyttää meteorin suuntahavainnot. Vaaleammat viivat näyttävät suunnat havaintoasemilta meteorin ilmestyessä, ja tummemmat viivat näyttävät, missä se viimeksi nähtiin. Sininen nuoli näyttää meteorin näkyvän lennon.

static map
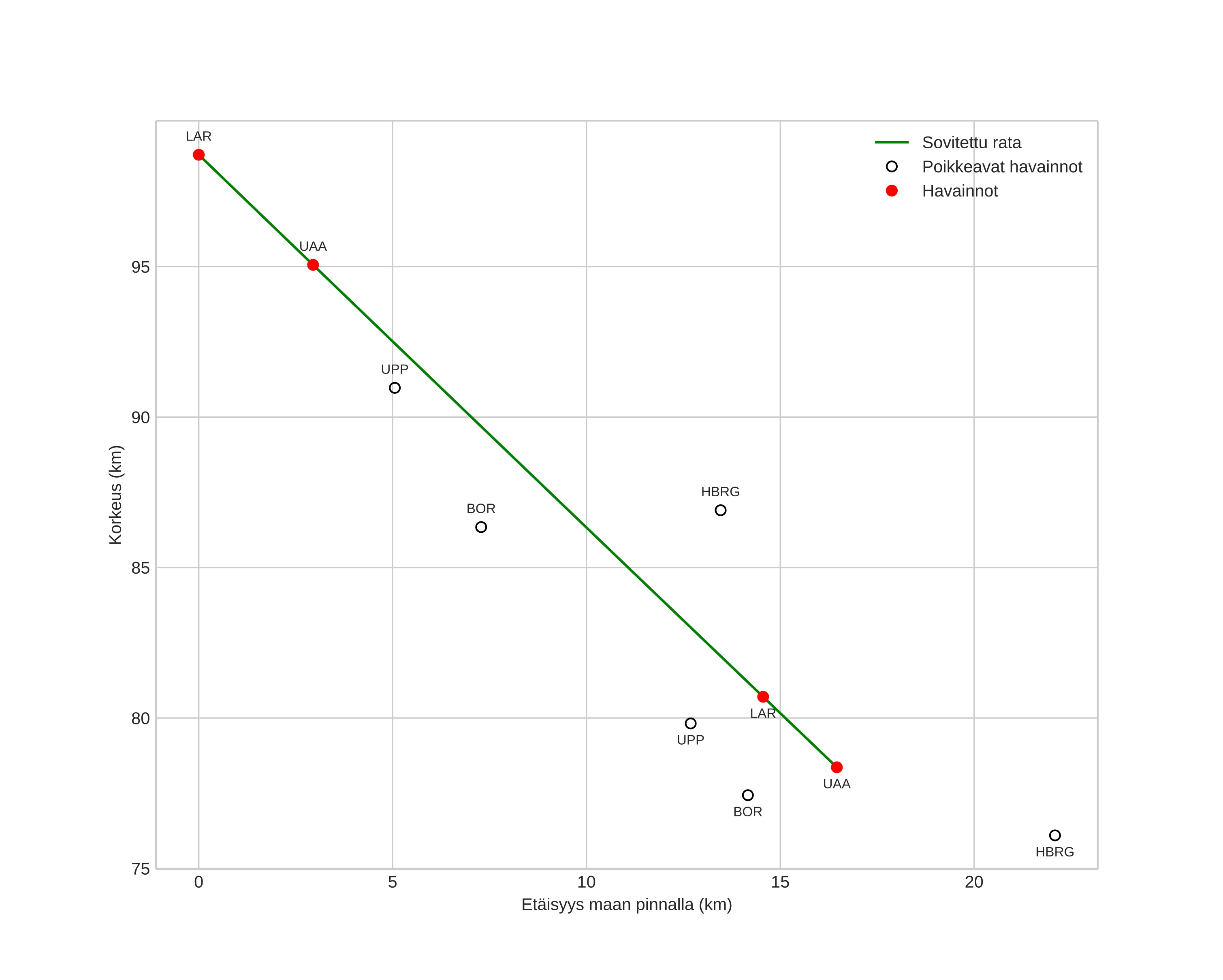
height profile
Meteorin ilmakehärata:
Alkukorkeus: 98,1 km
Loppukorkeus: 78,3 km
Alkupiste: 62,043N 15,396E
Loppupiste: 61,968N 15,133E
Suunta: 239,0°
Kallistuskulma: 51,1°
Tulonopeus: 40,1 km/s
Radiantin R,A,: 16:07 (241,8°)
Radiantin Dekl,: 56,8°
Meteoriparvi: Sporadinen
Meteoroidin rataelementit:
Perihelietäisyys: 0,962 AU
Eksentrisyys: 1,188
Inklinaatio: 57,8°
Nousevan solmun pituus: 344,3°
Perihelin argumentti: 199,1°
Keskianomalia: -1,1°
Epookki: 2021 MAR 04 22:44:47
orbit plot

Ei-interaktiivinen kuvaaja | Interaktiivinen kuvaaja

position vs time
speed and acceleration