🇳🇴 🇬🇧 🇩🇪 🇨🇿 🇫🇮

Meteor, poloha: Abborrberget 2021-03-05 22:16:54 UTC

Soubor KML  |  InteraktivnĂ­ mapa

Mapa zobrazuje dráhy meteoru. Světlejší čáry ukazují směry od pozorovacích stanic při objevení se meteoru a tmavší čáry, kde byl naposledy viděn. Modrá šipka značí viditelnou dráhu meteoru.

static map
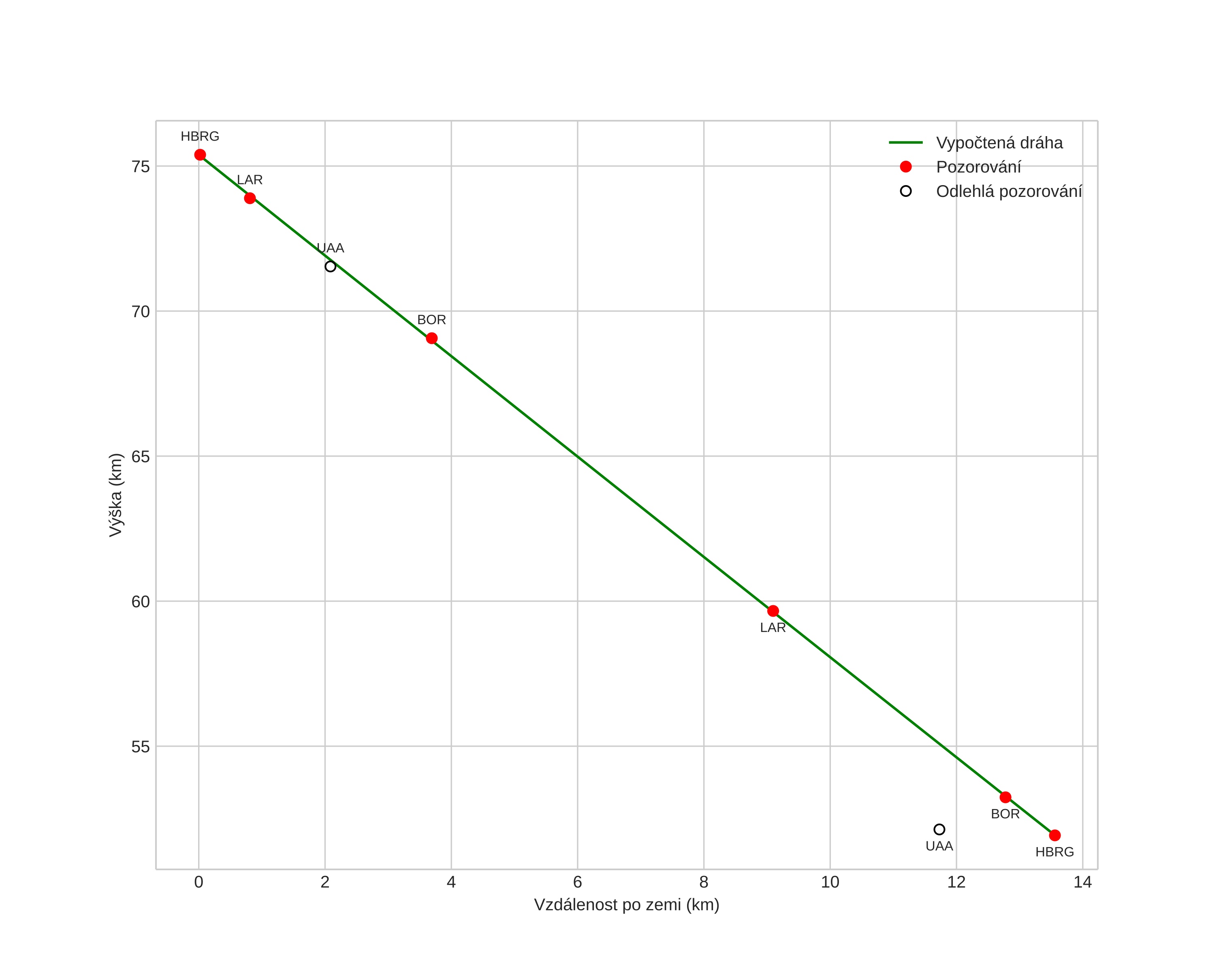
height profile
Atmosférická dráha meteoru:
Počáteční výška: 75,5 km
Konečná výška: 52,0 km
Počáteční poloha: 60,212N 14,854E
Konečná poloha: 60,322N 14,748E
Směr: 334,6°
Sklon: 60,0°
VstupnĂ­ rychlost: 19,6 km/s
Rektascenze radiantu: 11:08 (167,2°)
Deklinace radiantu: 29,0°
MeteorickĂ˝ roj: sporadickĂ˝
Elementy dráhy meteoroidu:
Vzdálenost v periheliu: 0,764 AU
Excentricita: 0,563
Sklon dráhy: 10,4°
Délka vzestupného uzlu: 345,3°
Argument perihelia: 248,7°
Střední anomálie: 340,9°
Epocha: 2021 MAR 05 22:16:54
orbit plot

NeinteraktivnĂ­ graf | InteraktivnĂ­ graf

position vs time
speed and acceleration