🇳🇴 🇬🇧 🇩🇪 🇨🇿 🇫🇮

Meteor, poloha: Løten 2021-03-06 03:01:05 UTC

Soubor KML  |  InteraktivnĂ­ mapa

Mapa zobrazuje dráhy meteoru. Světlejší čáry ukazují směry od pozorovacích stanic při objevení se meteoru a tmavší čáry, kde byl naposledy viděn. Modrá šipka značí viditelnou dráhu meteoru.

static map
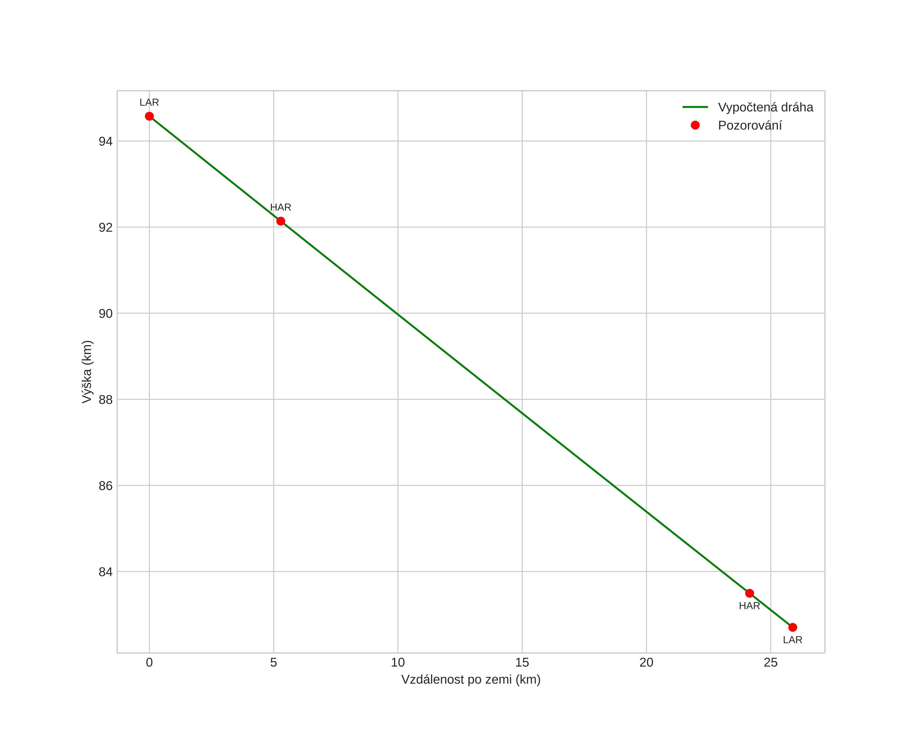
height profile
Atmosférická dráha meteoru:
Počáteční výška: 96,3 km
Konečná výška: 83,8 km
Počáteční poloha: 60,572N 11,222E
Konečná poloha: 60,761N 11,474E
Směr: 32,9°
Sklon: 26,4°
VstupnĂ­ rychlost: 37,2 km/s
Rektascenze radiantu: 12:41 (190,4°)
Deklinace radiantu: -0,4°
MeteorickĂ˝ roj: sporadickĂ˝
Elementy dráhy meteoroidu:
Vzdálenost v periheliu: 0,141 AU
Excentricita: 0,917
Sklon dráhy: 8,4°
Délka vzestupného uzlu: 345,5°
Argument perihelia: 322,5°
Střední anomálie: 343,7°
Epocha: 2021 MAR 06 03:01:05
orbit plot

NeinteraktivnĂ­ graf | InteraktivnĂ­ graf

position vs time
speed and acceleration