🇳🇴 🇬🇧 🇩🇪 🇨🇿 🇫🇮

Meteor, poloha: Årøysund 2021-03-09 22:21:53 UTC

Soubor KML  |  InteraktivnĂ­ mapa

Mapa zobrazuje dráhy meteoru. Světlejší čáry ukazují směry od pozorovacích stanic při objevení se meteoru a tmavší čáry, kde byl naposledy viděn. Modrá šipka značí viditelnou dráhu meteoru.

static map
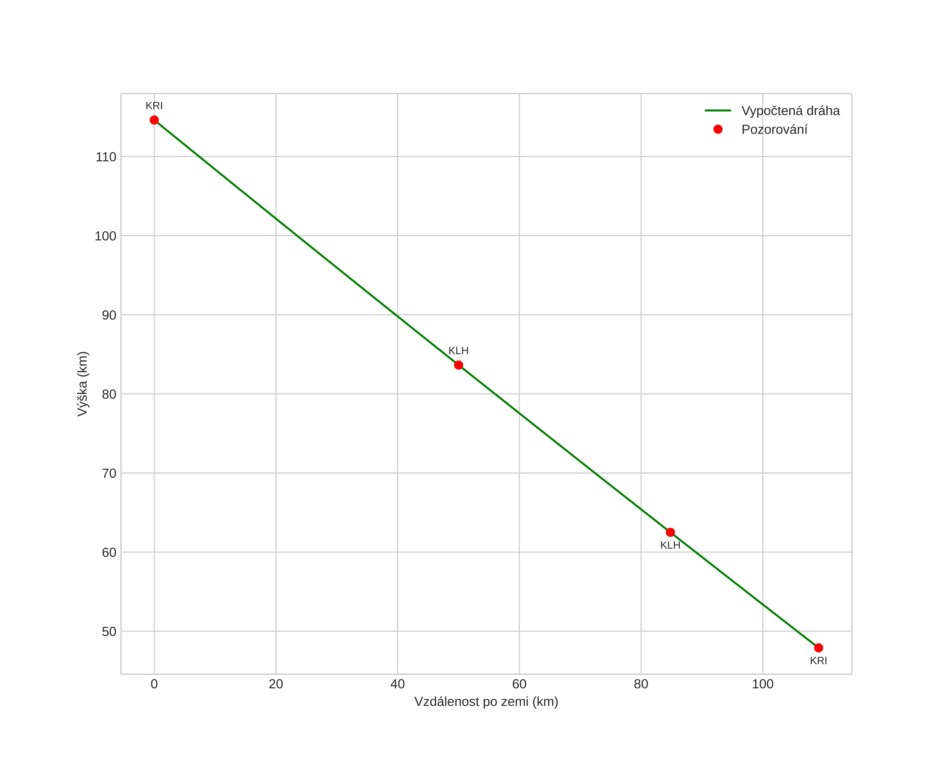
height profile
Atmosférická dráha meteoru:
Počáteční výška: 88,4 km
Konečná výška: 44,3 km
Počáteční poloha: 58,486N 11,151E
Konečná poloha: 59,071N 10,538E
Směr: 331,8°
Sklon: 30,8°
VstupnĂ­ rychlost: 30,9 km/s
Rektascenze radiantu: 11:52 (178,2°)
Deklinace radiantu: 0,2°
MeteorickĂ˝ roj: sporadickĂ˝
Elementy dráhy meteoroidu:
Vzdálenost v periheliu: 0,393 AU
Excentricita: 0,841
Sklon dráhy: 0,6°
Délka vzestupného uzlu: 169,3°
Argument perihelia: 108,8°
Střední anomálie: 349,3°
Epocha: 2021 MAR 09 22:21:53
orbit plot

NeinteraktivnĂ­ graf | InteraktivnĂ­ graf

position vs time
speed and acceleration