🇳🇴 🇬🇧 🇩🇪 🇨🇿 🇫🇮

Meteor, poloha: Brøstadbotn 2021-03-10 23:32:29 UTC

Soubor KML  |  InteraktivnĂ­ mapa

Mapa zobrazuje dráhy meteoru. Světlejší čáry ukazují směry od pozorovacích stanic při objevení se meteoru a tmavší čáry, kde byl naposledy viděn. Modrá šipka značí viditelnou dráhu meteoru.

static map
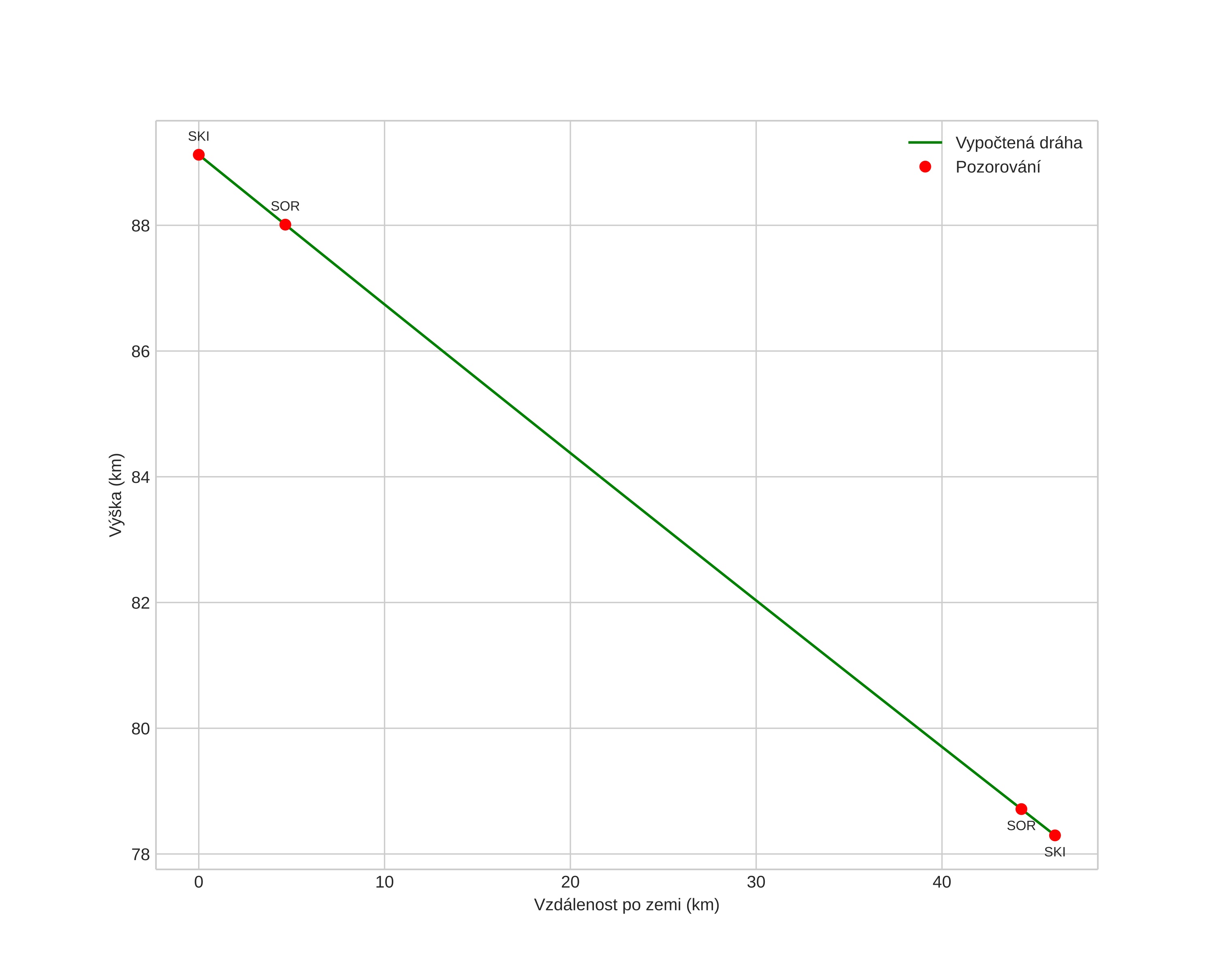
height profile
Atmosférická dráha meteoru:
Počáteční výška: 89,2 km
Konečná výška: 78,7 km
Počáteční poloha: 69,434N 17,142E
Konečná poloha: 69,830N 17,349E
Směr: 10,2°
Sklon: 13,2°
VstupnĂ­ rychlost: 27,1 km/s
Rektascenze radiantu: 11:12 (168,2°)
Deklinace radiantu: -11,0°
MeteorickĂ˝ roj: sporadickĂ˝
Elementy dráhy meteoroidu:
Vzdálenost v periheliu: 0,541 AU
Excentricita: 0,770
Sklon dráhy: 12,5°
Délka vzestupného uzlu: 170,3°
Argument perihelia: 92,7°
Střední anomálie: 347,8°
Epocha: 2021 MAR 10 23:32:29
orbit plot

NeinteraktivnĂ­ graf | InteraktivnĂ­ graf

position vs time
speed and acceleration