🇳🇴 🇬🇧 🇩🇪 🇨🇿 🇫🇮

Meteor, poloha: Aars 2021-03-12 19:51:11 UTC

Soubor KML  |  InteraktivnĂ­ mapa

Mapa zobrazuje dráhy meteoru. Světlejší čáry ukazují směry od pozorovacích stanic při objevení se meteoru a tmavší čáry, kde byl naposledy viděn. Modrá šipka značí viditelnou dráhu meteoru.

static map
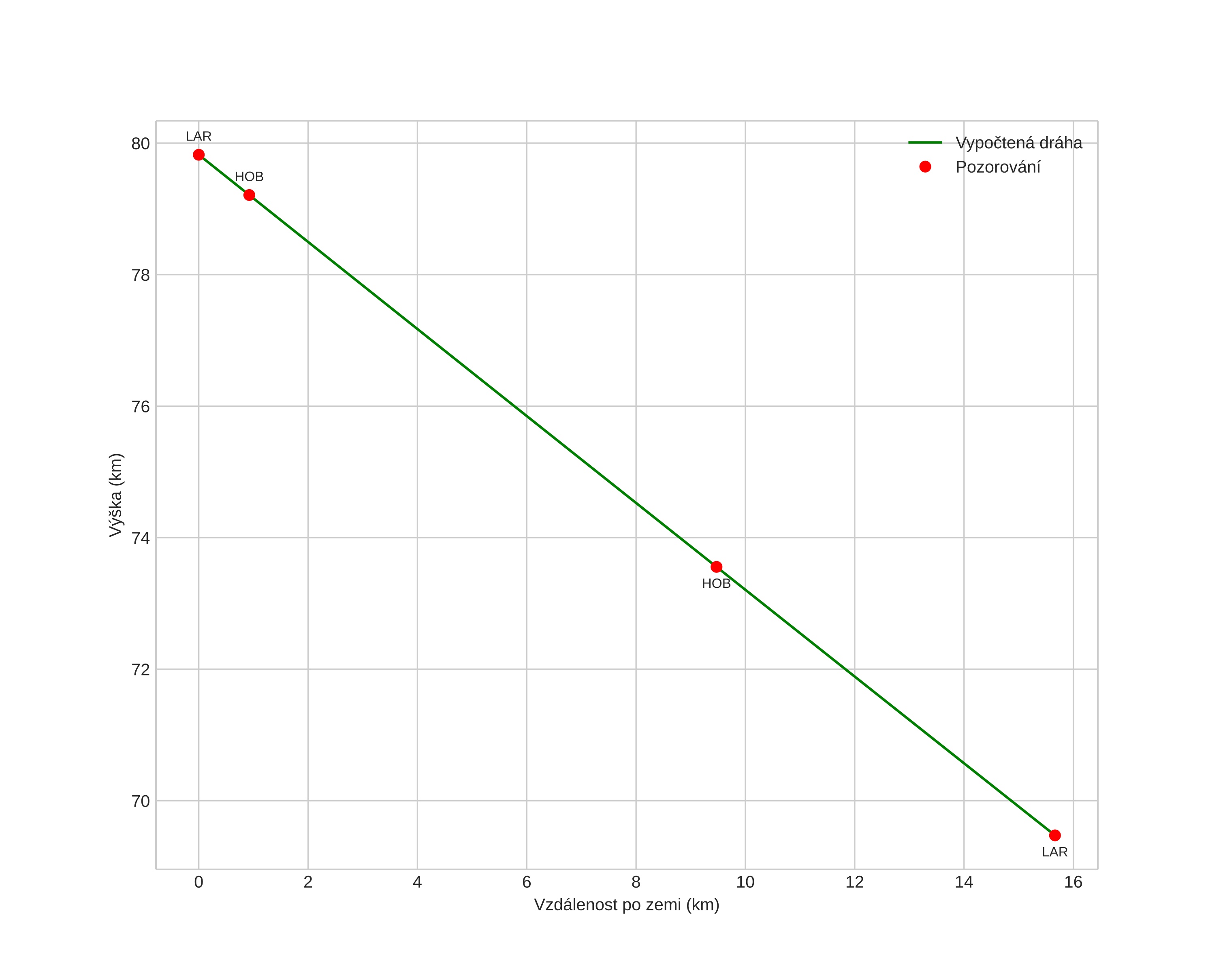
height profile
Atmosférická dráha meteoru:
Počáteční výška: 78,7 km
Konečná výška: 65,9 km
Počáteční poloha: 56,713N 9,813E
Konečná poloha: 56,797N 9,515E
Směr: 297,4°
Sklon: 32,1°
VstupnĂ­ rychlost: 18,8 km/s
Rektascenze radiantu: 11:25 (171,4°)
Deklinace radiantu: 7,5°
MeteorickĂ˝ roj: sporadickĂ˝
Elementy dráhy meteoroidu:
Vzdálenost v periheliu: 0,703 AU
Excentricita: 0,501
Sklon dráhy: 1,7°
Délka vzestupného uzlu: 352,2°
Argument perihelia: 263,0°
Střední anomálie: 329,2°
Epocha: 2021 MAR 12 19:51:11
orbit plot

NeinteraktivnĂ­ graf | InteraktivnĂ­ graf

position vs time
speed and acceleration